1/19
Looks like no tags are added yet.
Name | Mastery | Learn | Test | Matching | Spaced | Call with Kai |
|---|
No analytics yet
Send a link to your students to track their progress
mean

weighted mean

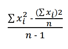
sample variance

coefficient of variation

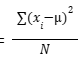
population variance

weighted mean probability

weighted variance probability

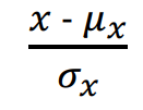
z score

coefficient of skewness

mean of discrete distributions

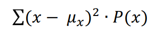
variance of discrete distributions

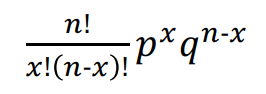
binomial probability

binomial mean

binomial variance

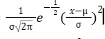
probability density under the normal distribution

finite population sample mean adjustment to z score formula

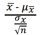
z score for sample mean

sample proportion

standard error of the proportion

z score for sample proportion
