1/173
Looks like no tags are added yet.
Name | Mastery | Learn | Test | Matching | Spaced | Call with Kai |
|---|
No study sessions yet.
Resistor
Electronics Information: The symbol represents one of these, an opposition to the flow of current.

Ohmmeter
measures the Resistance
Resistance can be measured by dividing the voltage measured at any given point (the voltmeter reading) by the amount of current at the same point in a circuit (the ammeter reading)
Its symbol is seen here.

Electricity
Electronics Information: The concept of this is defined as the flow of electrons along a conductor
Cell
Electronics Information: This supplies electrical energy.
a cell (a storage compartment for electricity in battery) has a specific voltage.
Fuse
Electronics Information: The symbol of this, seen here.
It is also a thin wire that will blow or melt if the current flowing through it exceeds a particular value.

Capacitors and Inductors
Are devices used in circuits to provide the type of reactance needed.
capacitors are related in microfarads (μF) and store or hold a charge of electrons.
inductors are related in millihenries (mH).
ammeter
Electronics Information: The symbol seen here.
It represents a device used to measure electrical current in a circuit in amperes.
measure the flow of current through a circuit.

Galvanometer
Electronics Information: A device that uses a solenoid to measure small amounts of current, usually 1mA (one milliamp) or less

Voltmeter
Electronics Information: A device used to measure voltage, also known as potential difference.
To measure voltage you need a voltmeter or a multimeter. a voltmeter has two leads. to measure voltage, you place one lead somewhere in the circuit and one leads at another location in the current. the voltmeter tells you what the voltage is between those two points.

Switches
Electronics Information: Devices that allow you to stop the flow of current entirely. These are usually mechanical devices that separate two pieces of metal.

Resistance
Electronics Information: The circuit property that opposes the flow of electron current, measured in ohms. Ohms.
Capacitance
Electronics Information: The ability of the capacitator to store charge, represented by the symbol C, and its unit of measurement is the farad.
Inductance
Electronics Information: The circuit property that opposes any change in current.
Reactance
Electronics Information: The opposition to the flow of an alternating current as a result of inductance or capacitance present in the circuit.
Alternating Current
Electronics Information: Current that changes polarity and direction many times per second is called this.
Electrical Ground
Electronics Information: This provides a low-resistance path to guide excess electrical energy away from panels and loads, to protect them in the case of lightning or circuit failure.
Semiconductor
an object that conducts electricity poorly at low temperatures, that control the flow of electricity in a circuit. this electrical device can amplify a signal.
Shells
Electronics Information: Electrons orbit an atom in a set of layers or levels called this.
Formula for Ohm's Law
I is current, E is voltage, R is resistance.
Current (amperes) = Voltage (volts)/ resistance (ohms) or seen as: I=E/R
Voltage = Current * Resistance or E=IR
Resistance= Voltage/ Current or R=E/I

AC supply
Electronics Information: It's the symbol seen here.

Coulomb (C)
is the amount of electricity provided by a current of 1 ampere flowing for 1 second. if 1 coulomb flows past a specified point in 1 second thats a flow rate of 1 ampere.
Magnetic fields depends on several factors
Number of turns: if you increase the number of turns, you increase the field strength.
Closeness of the turns: the closer the turns, the stronger the field.
Amount of current: if you increase current, you increase field strength.
Material in the core:most coils are classified as either air or soft iron.
Remain the same.
Electronics Information: In a series circuit, the current is known to do this, throughout the circuit.
Battery
It's the symbol seen here.

Inversely proportional
Electronics Information: Current and resistance are related in this way.
Transformer
Electronics Information: This device is used to increase or decrease voltage in a circuit.
AC
alternating current. constantly changes direction in a regular pattern.
DC
direct current flows in one direction
Increase
Electronics Information: If the resistance provided by a load were to decrease, the current flowing through that circuit would do this.
Load
Electronics Information: A source of resistance that turns electrical energy into some other type of energy.
Conventional Current
electrical particles moving from positive terminal to a negative terminal of a battery.

Henries
Electronics Information: Induction is measured in this.
Inductor
Electronics Information: This resists changes in current flow by applying a voltage that runs against increased current
Voltage
which is supplied by the battery in this circuit, is the difference of the pressure between two points in a circuit. sometimes called the voltage drop or difference of potential.
Electrical Power
Electronics Information: The amount of energy delivered to and used by an electric circuit.
Power: Watts.
capacitor (or condenser)
Electronics Information: It is the symbol seen here.
One of these is constructed of two metal plates and is used to store electricity.

Circuit Calculations
Electronics Information: If multiple loads are connected in a series circuit, you can find this by adding the resistances of the various loads.

Direct Current
Electronics Information: an electric current that flows in one direction steadily
Higher resistance
Electronics Information: Poor conductors have this, compared to good conductors
Diode
When a P-type semiconductor is joined to an N-type semiconductor.
conducts electricity in only one direction.
Short Circuit
Electronics Information: This occurs when a load is bypassed by a conductor, allowing more current to flow through the circuit.
Inductor (symbol)
Electronics Information: It is the symbol seen here.

Fixed resistor
Electronics Information: The symbol, seen here, indicates a resistor having a defined electrical resistance which is not adjustable.

Collector, Emitter, and Base the 3 terminals of what?
They are the three major parts of a transistor. and dosent require a vacuum to operate.
Emitter: is the voltage output.
Base: acts like a gate, and voltage at the base controls the flow of current through the transistor (and therefore the voltage).
Collector: is the voltage input.
DC Supply
Electronics Information: It is the symbol seen here, indicating a device that supplies electric energy of fixed polarity, either positive or negative.

Circuit Breaker
Electronics Information: This device serves the same function as a fuse, but can be used multiple times.
A device that automatically interrupts the electrical current, is an example of opening a circuit to control the current. when the circuit breaker trips, the electrical device can no longer operate.
Amperes (A)
represents the strength of a current
60 Hz
Electronics Information: In North America, AC is delivered at this many hertz.
Potentiometer
Electronics Information: It is the symbol seen here.
It is an instrument for measuring the potential (voltage) in a circuit.

Electromagnet
Electronics Information: When a current is passed through a wire coiled around a ferrous material, the result is known as this.
Ferrous (iron) core
Electronics Information: The magnetic field formed by a current-carrying wire can be strengthened by winding the wire into a coil around this kind of core.
Conductor
Electronics Information: A material that conducts heat well; an element would be considered this if its atoms have valence shells that are less than half full of electrons.
Multiple Loads
Electronics Information: In a series circuit, the overall voltage of the circuit is calculated by adding the voltage drops to find the value of these.
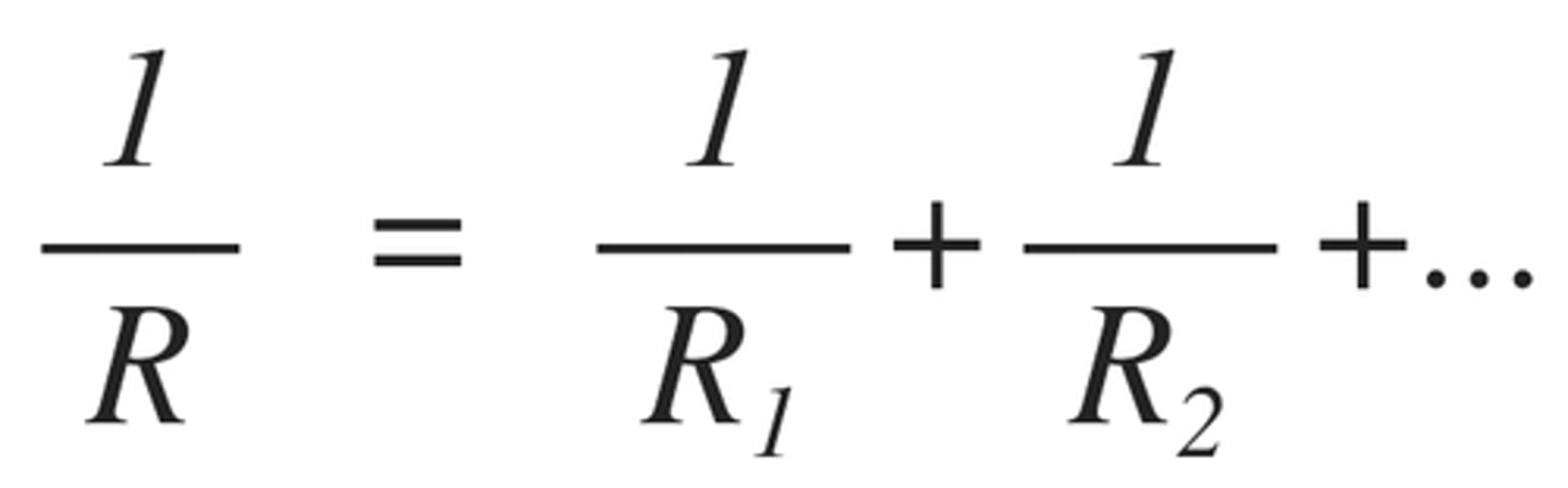
Parallel circuits
Electronics Information: An electrical circuit where the voltage is the same throughout the circuit, while current flow varies; with this arrangement, each load is wired in a separate path. If any one of these paths were to break or gap, current flow would still continue through the other paths, so there would still remain a closed circuit.
Series Circuit
Electronics Information: An electrical circuit that has one path for current to flow is known as this; if this circuit breaks at any point in the circuit, it will cause the current to stop flowing in all parts of the circuit.
Closed Circuit
Electronics Information: Current will flow only if it can follow this kind of circuit.
Circuit
A complete loop or path of an electrical current. a closed circle.
Consist of: battery one side (terminal) of which is connected by a conductor (a wire) to an on/off switch, which is connected to a lamp (a light bulb) by another wire, which is then connected back to the other side of the battery.
Copper
Electronics Information: This metal is used as a conductor more frequently than silver or aluminum because it is much less expensive than silver and has a lower resistance compared to aluminum.
Current
electricity is like water -- it flows.electrical current occurs when electrons move from one place to another. conductors (copper and water) allows the electrons to move freely. insulators (rubber and wood) discourage the electric current.
Amperes or amps.
Charge
Electronics Information: Electrical current is measured by the amount of this.
Negative side (of a battery)
Electronics Information: This side of a battery has a huge excess of electrons and pushes them to the other side.
Positive side (of a battery)
Electronics Information: This side of a battery has a shortage of electrons and an excess of attractive protons pulling the electrons in.
Directly proportional
Electronics Information: It is how voltage and current are related.
Electrical Potential
Electronics Information: The concept where the voltage is really the difference in electric pressure between two points, such that electrons will tend to be pushed from areas of greater this to areas of lesser this (lower pressure).
Electrical Potential Difference
Electronics Information: Voltage is also known as this.
Electromotive force
Electronics Information: Voltage is also known as this.
Inversely Proportional
Electronics Information: As resistance in a conductor increases, current flow decreases, meaning that current and resistance are related this way.
Volts
volts measure the difference of potential between two points. Voltage.
Amperes
(Amps) measure the number of electrons that move past a specific point in 1 second.
Ohms
Ohms measure resistance, including anything that could limit the flow of electrons.
Greek letter: omega

Watt
a watt measures power, the rate at which electrical energy is consumers or transformed into another type of energy, such as light or heat.
Watt-hour
a watt-hour is the amount of energy used in 1 hour at rate of 1 watt.
Energy.
conductors
conductors (copper and water) allows the electrons to move freely.
insulators
insulators (rubber and wood) discourage the electric current.
Kilowatt-hour
which is how much energy use if you ran a 1,000-watt (1-kilowatt) device for an hour.
open
switch is off, set to a position were there is an opening, a literal open space in the circuit were current cannot flow,
short
flip the switch theirs a short, meaning the open space has been closed, and the current can flow from one side of the battery, through the closed switch, through the light bulb, and back to the other terminal of the battery.
ground
any part of a circuit (or other objects that has electricity running though it) that measures 0 volts (case of a radio, base of lamp, chassis of your car)
electrical current
is a flow of electric charge. or the rate of flow of electrons in a conductor.
Current flow can be expressed in terms of coulombs (c) which measure charge.
electrical currents are measured in amps.
rheostat
which can vary the resistance without opening the circuit -- the device can continue to work even as the resistance is altered. if an application dosent use all the electricity, the rheostat absorbs it. (example: dimmer switch, you increase the amount of resistance to dim the light and decrease the resistance to brighten the light)
current flowing through a wire the 3 influences
the amount of voltage, measured in volts.
the resistance to the current, measured in ohms.
the amount of current, measured in amps.
Ohm's Law
the current in a circuit equals the voltage and inversely proportional to the circuit resistance.
750 watts = ______ hp
= 1 horsepower
1 kilowatt = _______watts
= 1000 watts
kilowatt-hour (kWh)
is equal to the energy of 1,000 watts working for one hour.
Determined by multiplying the number of kilowatts (kW) required by the number of hours of use.
short circuit
when a wire accidentally crosses over another wire, causing the electricity to bypass the rest of the circuit and not follow the intended path.
magnetic lines of force
Imaginary lines used to illustrate and describe the pattern of the magnetic field. Are perpendicular to the conductor and parallel to teach other.
air coils
are usually wrapped around a piece of card board.
soft-iron coils
are wrapped around a piece of iron. is better for magnetic lines of force because of its high permeability and less reluctance to magnetic flux, resulting in more lines of force.
magnetic flux
A measurement of magnetic strength located on 2-D surface. the more lines of force the stronger the magnetic field.
electromagnetic induction
the process of generating a current by moving an electrical conductor relative to a magnetic field
chemical effect
Current produces this effect when it passes through a chemical compound and breaks that compound up.
(Also called Electrolytic Decomposition, this phenomenon is used in Electroplating, a process used to cover objects with a very thin coating of metal.)
heat effect
Conducting electricity causes wires to become heated. Heat develops because the current must overcome the resistance of the wire. This heat energy can be quite obvious or hardly noticeable to touch, depending on the size of the wire and the amount of current
Magnetic Effect
When a wire is introduced into a magnetic field, electricity flows through the wire and creates a magnetic field that repels a magnet. This effect is used to create energy through Electromagnetic Induction. If the wire is wrapped around an iron core and a current is sent through the wire, the iron become magnetized.
physiological effect
Current produces this effect when it passes through your bicep (or any other muscle) and causes the muscle to contract. This effect is used in medicine.
Hertz (Hz)
Unit of measurement for frequency. the number of times an alternating current changes per second is known as its frequency.
1 hertz (Hz) equals one complete cycle per second. in other words, the current makes two complete alternation of direction.
Inductive reactance (inductance)
The property that causes an electromotive force (another way of saying voltage) to be induced in a circuit.
inductors are coils of wire that make use of the properties (flow of current through the wire) of a magnetic field.
Impedance
resistance to the flow of energy in a current. can be expresses as the ratio of electromotive force to the current.
impedance = electromotive force/ current
Capacitive reactance (capacitance)
The storage of energy that occurs in a nonconductor. This property resists any change in voltage in a circuit.
the rate of the charging and discharging acts as opposition to the changing AC voltage as a resistive effect.
Rectification
conversion of AC to DC