1/26
Looks like no tags are added yet.
Name | Mastery | Learn | Test | Matching | Spaced | Call with Kai |
|---|
No analytics yet
Send a link to your students to track their progress
What are the three levels of the Efficient Market Hypothesis?
Weak form: Prices reflect information on past price movements only.Â
Semi-strong form: Prices reflect all publicly available information.Â
Strong form: Prices reflect all public and private (insider) information.Â
In which level of market efficiency is it theoretically impossible to "beat the market"?
Strong form efficiency, because all information is already perfectly reflected in the stock price.
How do you calculate Dividend per share (DPS)?
total ordinary dividend / number of ordinary shares
How do you calculate Dividend Yield %?
DPS/stock price at start of the period
How do you calculate Earnings per share (EPS)?
annual earnings / number of shares
How do you calculate Price-earnings ratio?
stock price per share / EPS
Measuring investor returns
Capital growth:
Dividends:
Rate of return:
increase in the stock price.
company earnings distributed back to shareholders
income + Capital gain/initial price
Also called “total investor return” or “total shareholder return”. These returns are not guaranteed
Define Book Value of a firm.
value of the firm according to its balance sheet, calculated as:
Book value = assets – liabilities = shareholders’ equity
Liquidation value:
represents the net proceeds that could be realised by liquidating the business e.g. selling off the assets and paying off the liabilities (debts).
Market value (a.k.a market capitalisation, market cap):
calculated based on the current value of the company’s shares

Why is Market Value usually higher than Book Value?
1. Earnings power: Assets generate a high rate of return.
2. Intangible assets: Items like goodwill, R&D, and employee talent aren't on the balance sheet.
3. Future investments: Potential for future projects with positive NPV.Â
What is Intrinsic Value?
The "fair" price for a stock, calculated as the present value of all anticipated future cash payoffs (dividends and final sales price).Â
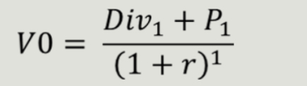
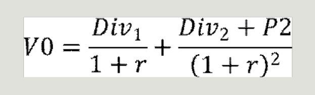
Price (value) and intrinsic value

Price and intrinsic value
If you expect to hold the share for two years

Constant growth in dividends (Gordon’s growth model), What does this represent?
If a company reinvested (plowback/ plough back) some of its earnings, in theory, it would grow.
With constant dividend growth DPS would grow by the same % each year.
This dividend stream would represent a growing perpetuity.
What is the formula for the Present Value (PV) of a growing perpetuity, and how is it applied to determine Stock Price (P0)?
The general formula for a Growing Perpetuity is:
PV = \frac{CF_1}{r - g}
When translated into Stock Terminology, the formula is:
P_0 = \frac{Div_1}{r - g}
Variable Key:
P0: Current Stock Price (Present Value).
Div1: Expected Dividend at the end of the first year (Div0 * (1+g)).
r: Required rate of return (Cost of Equity).
g: Constant growth rate of dividends.
For this formula to work, the required rate of return (r) must be strictly greater than the growth rate (g)
How do you calculate the Sustainable Growth Rate (g) for a mature company using the Plowback Ratio and Return on Equity (ROE)?
The formula for the sustainable growth rate is:
g = \text{Plowback Ratio} \times \text{Return on Equity (ROE)}
Plowback Ratio:
ROE:
The percentage of earnings a company keeps to reinvest (1 minus the Dividend Payout Ratio).
Annual Earnings/Shareholders' Equity. It measures how much profit a company generates with the money shareholders have invested.
Bond terminology
Bond
Issue Price
Market Price
Par Value
Redemption value
Bond: security that obligates the issuer to make specified payments to the bondholder.
Issue price: The price at which the bond is initially sold to an investor.
Market price: The current price of the bond in the secondary market.
Face/Par Value: This is fixed for each bond and represents the amount paid to the bondholder on maturity.
Redemption value: The amount that will be repaid on the redemption date. By default, the same as par value.
What is the difference between a Coupon Rate and a Coupon Payment?
Coupon Rate: The fixed percentage of the face value used to calculate interest.Â
Coupon Payment: The actual dollar amount of interest paid (Coupon Rate \times Face Value).
Describe the relationship between Interest Rates and Bond Prices.
They have an inverse relationship.
When market interest rates increase, the price of existing fixed-interest bonds decreases.
When rates decrease, bond prices increase.
What is Yield to Maturity (YTM)?
discount rate (IRR) at which the present value of all future bond payments equals the current bond price.
It represents the total return if the bond is held until it matures.Â
Value of a bond
present value of the cash flows (coupon payments plus face value on maturity).
Common measures of investor return on bonds
Current yield - basic
Rate of return - better
Yield to maturity - best
What is Current Yield, and what is its primary limitation as a measure of return?
Current Yield measures the annual income provided by an investment relative to its price at the start of the year.
The Formula:
\text{Current Yield} = \frac{\text{Annual Coupon or Dividend}}{\text{Price at Start of Year}}
The Limitation:
It only considers the cash income (the coupon/dividend). It completely ignores any capital gains or losses (changes in the asset's price).
How do you calculate the Total Rate of Return for an asset, and what two components does it combine?
The Rate of Return accounts for both income and the change in the asset's value over a period.
The Formula:
\text{Rate of Return} = \frac{\text{Income (Coupon/Div)} + \text{Capital Gain (or Loss)}}{\text{Initial Price}}
Income: The annual cash payment.
Capital Gain/Loss: (End Price} - (Initial Price)
What is Yield to Maturity (YTM), and why is it not used for common equities?
Why not for equities?
Yield to Maturity is the total expected return if a bond is held until it matures.
It is the Internal Rate of Return (IRR) that equates the Present Value (PV) of all future cash flows (coupons + principal) to the bond's current price.
It assumes all coupons are reinvested at the same rate.
Equities do not have a maturity date or a guaranteed final par value, so there is no "end point" to calculate a terminal yield.