Anticancer Agents

0.0(0)
studied byStudied by 0 people
full-widthCall with Kai
GameKnowt Play
learnLearn
examPractice Test
spaced repetitionSpaced Repetition
heart puzzleMatch
flashcardsFlashcards
Card Sorting

1/84

encourage image

There's no tags or description

Looks like no tags are added yet.

Study Analytics
Name
Mastery
Learn
Test
Matching
Spaced

No study sessions yet.

85 Terms

1
New cards

Cell Cycle

  • process by which cell multiplies

  • in healthy cell, has many checkpoints

cell cycle is promoted by:

  • Cyclins: molecules that activate CDKs, ex: Cyclin A, Cyclin B, Cyclin D, Cyclin E

  • Cyclin Dependent Kinases: receptors that are activated by Cyclins (ex: CDK-1, CDK-2, etc.)

  • Cyclin D is particularly important (G1 to S Phase?)

  • Cancer occurs when problems occur with the regulatory process

  • note: kinase means phosphorylation

2
New cards

Genetic vs Epigenetic

Genetic:

  • based on gene sequence

Epigenetic:

  • not dictated on gene sequence, but rather genes turning “on or off

3
New cards

Carcinogenesis

  1. Starts as Normal Cells

  2. Exposed to Carcinogens

Types of Carcinogens:

  • Initiators: UV Light, charred food (benzo-α-pyrenes), carcinogenic chemicals, etc.

  • Promoters/Potentiators: benzo-α-pyrenes (result of incomplete combustion of organic material, aka char), 

  1. need exposure to an initiator, then continuous exposure to potentiator to develop cancer

Process: Normal → Initiation → Promotion → Progression → Tumor → Metastasis

  • body can repair damage, but only so much

Note: P53 - aberration in P53 gene is associated with 80-90% of colon cancer

4
New cards

Detoxification

Phase I and Phase II of biotransformation

  • aka when drugs are transformed in the body

  • especially important: Phase II reactions (glucuronidation, conjugation reactions, etc.)

  • for this context, activates in response to initiators

  • transforms them into entities safe for excretion

  • Phase I (CYP) enzymes go down, Phase II enzymes go up in response to initiators

    • due to Phase I possibly activating instead, like prodrug (ex: benzo-α-pyrenes)

5
New cards

Progression and Proliferation

Progression:

  • cell responds to damage by triggering apoptosis and cell cycle arrest

  • inflammation occurs

  • eventually, increased mutated cell count promotes angiogenesis to gain nutrient supply

  • note: vessels formed this way are less stable and structurally sound

  • metalloproteinases are activated to break down ECF and allow easier angiogenesis

6
New cards

Invasion and Metastasis

  • metalloproteinases are activated to break down ECF and allow easier angiogenesis

  • eventually, with enough progression, cancer cells invade

  • move from site of initial tumor to other sites (called metastasis)

  • Metastasis is usually at around Stage IV Cancer

  • Tumors that do not metastasize are benign tumors, are generally encapsulated

  • metastatic tumors are called malignant, generally not encapsulated

  • metastatic cells begin harming organs and body

ex: finding colon cells in lungs means metastasis has occurred

  • site for invasion are generally highly vascularized tissues

7
New cards

Proto-Oncogenes and Tumor Suppressor Genes

Mutations in either of these genes cause cancer

Proto-Oncogenes:

  • when expressed, generally promote cell division

  • when mutated, becomes oncogene

  • mutations promote the gene, leading to unregulated cell division

  • ex: genes for Growth Factors, Tyrosine-Kinases (GF Receptors are Tyrosine Kinases), Transcription Factors (initiate RNA Polymerase action)

Tumor Suppressor Genes:

  • when expressed, generally inhibit cell division

  • mutations silence the gene, leading to unregulated cell division

  • ex: genes for P53, Tumor Growth Factor β

8
New cards

EGFR Signaling Pathway

  • or endothelial growth factor receptor signaling

  • downstream effects lead to activation of endothelial growth factor

  • receptors found in capillaries; when activated leads to more capillaries forming

  • abnormally activated leads to angiogenesis

Note: silencing of Tumor Growth Factor β and P53 can lead to this?

9
New cards

RAS Protein

Pathway:

  • growth factor acts on tyrosine-kinase GF receptor on cell surface

  • activation of receptor leads to either cell growth or production of more receptors

  • RAS protein is connected to receptor by bridging protein; GF Receptor Kinases phosphorylate bridging protein

  • phosphorylation activates RAS; bound GDP becomes GTP, detaches from bridging protein

  • RAS activation leads to activation of other proteins down the line, leading eventually to cell division

  • RAS is a regulatory protein

  • mutation (ex: perpetual activation) leads to uncontrolled cellular division

10
New cards

Apoptosis

  • programmed cell death

  • does not cause inflammation (cell remains are enclosed in membrane after death)

  • Caspases: proteases that are instrumental to apoptosis

  • signals that inhibit their function can limit apoptosis

  • limited apoptosis is a symptom of cancer

Intrinsic Pathway:

  • cell is damaged, ex: exposed to DNA damaging agent

  • cell recognizes damage and if can not repair, self-destructs

  • involves p53 

Extrinsic Pathway:

  • signals from the body send a signal to the specific cells at a specific time to die

  • supposed to happen, not due to damage

  • caused by extracellular agents

11
New cards

Telomeres and Telomerase

Telomere:

  • nucleic acid chain at the end of DNA

  • protects DNA

  • shortens every replication

  • if too short, eventually reaches senescence and cell death

  • Senescence: state where cells stop dividing

  • if telomeres do not get shorter, unregulated cell division may occur

  • note: longer telomerases also may prevent cells from maturing and differentiating from stem cells

Telomerase:

  • rebuilds or creates telomeres

  • inhibition is a target for anticancer agents

12
New cards

Angiogenesis

  • formation of new capillaries

  • used by tumors to provide nutrition to areas unreached by normal blood vessels

  • relies on VEGF (Vascular Endothelial Growth Factor) and VEGF receptors

  • tumors release growth factor

  • vessels will create receptors or new endothelial cells

  • new vessels are formed

  • for tumors, hasty vessel

13
New cards

Matrix Metalloproteinases

  • Extracellular Matrix (ECM) cements cell in place, improves integrity (ex: collagen)

  • also forms barrier preventing easy innervation of blood vessels

  • makes angiogenesis harder

  • MMP’s dissolve matrix

  • in cancer, promotion of MMPs weakens matrix, promotes tumor and angiogenesis

  • drug target: deactivation of MMPs

14
New cards

Mesenchymal and Parenchymal Cells in Regards to Cancer

Parenchymal Cells:

  • functional cells

  • adherent, tend to stay in one place

Mesenchymal Cells:

  • multipotent cells

  • motile, have ability to move

  • can survive blood flow and pressure


Metastasis relies on the ability to interconvert

  • cancer cells are pleomorphic; shift to motile mesenchymal cells to move to new places

  • then shift to adherent parenchymal cells to anchor in favorable places

15
New cards

Available Cancer Treatment

3000 BC to 1980: Surgical Treatment

1900: Radiotherapy

  • note: may develop secondary tumor elsewhere after treatment

  • cancer cells may simply move to different spot after treatment

1940: Chemotherapy & Hormonal Therapy

  • fun fact: many were inspired by nerve gas

  • this is why the wartime effort helped with development

2000: Targeted Therapies & Monoclonal Antibodies

  • enzymes and chemotherapeutic agents are conjugated to monoclonal antibodies so that drug is directed to target cancer cells

2013: Checkpoint Inhibitors & Engineered Cell Therapy

  • example, CAR-T Cells

16
New cards

Cancer Cell Drug Resistance

  • extremely common: efflux proteins (ex: ATP-dependent pumps)

  • decreased drug influx

  • modification of drug target proteins (ex: telomerase, etc.)

  • drug compartmentalization (ex: in lysosomes)

  • Increased drug deactivation via metabolism

  • Enhanced DNA Repair

  • Inactivation of Apoptotic pathways

  • etc.

17
New cards

Intrinsic vs Acquired Resistance

Intrinsic Resistance

  • cancer cell is resistant from the beginning

  • slow growth rate

  • poor drug uptake

  • biochemical/genetic properties of the cell

Acquired Resistance:

  • used to be susceptible, but then cancer cell mutated

  • presence of drug-sensitive and drug-resistant cells within tumor

  • mutation results to abnormal number/structure of protein drug targets in cells

18
New cards

Drug Targets: Summary

Note: cancer is a systems biology disease

  • even if one mechanism/target is attacked, cancer may just find another pathway to survive

  • systematic approach to attack multiple targets with compatible drugs is recommended

19
New cards

Drug Targets: Monoclonal Antibodies

  • also called MABs

  • not chemotherapeutic

  • lab made antibodies, designed to target a single, specific target

  • -zumab, -imab, -mab at the end

  • can inhibit:

    1. Growth Factor

    2. Binding of Growth Factor (direct or allosteric)

    3. Release of Growth Factor from Cancer Cell

20
New cards

Drug Targets: Hormones

  • some cancers are hormone dependent (note: not all cancers in hormone areas are hormone dependent, do genetic test)

    • ex: breast cancer does not always mean estrogen dependent

  • some hormones are transcription factor producers/act as transcription factors

  • target: hormones with antihormones

  • attack either hormones or their receptors

  • note: hormone receptors tend to be intracellular (due to lipophilic ligands)

  • ex: estrogen in breast cancer

21
New cards

Drug Targets: RAS Protein

  • Farnesyltransferase Inhibitors (FTIs)

  • Farnesyltransferase is the protein that connects to RAS and associated protein

  • inhibition of FT leads to inhibition of RAS activity

22
New cards

Drug Targets: Tyrosine Kinases

  • GF receptors tend to be tyrosine kinases

  • inhibit receptors from the inside of the cell

  • must enter cell to work

  • blocks the cascade leading to RAS activation

  • generally look like and are competitive inhibitors of ATP (because kinase)

  • -inib at the end

23
New cards

Drug Targets: Mitosis

  • mitotic disruptors

  • selective towards mitotic spindle, which only forms in actively dividing cells

  • prevents cell proliferation

  • ex: vinca alkaloids

  • -blastine, -istine, etc.

24
New cards

Drug Targets: Telomerase

  • epigenetic

  • by targeting telomerases, prevent prolonged cell lifespan and division

25
New cards

Drug Targets: Histone Deacetylase

  • epigenetic

  • Histone: protein in nucleus, DNA wraps around histones to form chromatin

  • When histones are deacetylated, allows DNA to bind to them

  • DNA has negative phosphate groups, which bond to the positive deacetylated histone

  • inhibiting deacetylase prevents histones from acting

    • this unwinds/unsilences Tumor Suppressor Genes

  • note: promoting histone acetylase will do the same thing

  • note: inhibiting histone acetylase for oncogenes will also have effect

Deacetylase Inhibitors must be very specific for Tumor Suppressor Genes; Acetylase Inhibitors must be specific for Oncogenes

  • due to complexity, few are yet on market

26
New cards

Drug Targets: Topoisomerases

  • relieve torsion stress when DNA is unwinding

  • inhibition prevents DNA unwinding, and breaks DNA

  • effectively stops DNA duplication and mitosis

27
New cards

Drug Target: Antimetabolites

  • fake pyrimidine/pyridine bases (ex: fluorouracil)

  • can also be folic acid antimetabolites

  • prevent elongation of DNA

  • cell takes them up as if they are real bases

  • incorrect structure prevents further DNA addition

  • Base Analogues are prodrugs, are triphosphorylated by cell itself

    • if pre-phosphorylated, too polar to enter through membrane or transporters

    • while repair mechanism will fix, it will eventually be overwhelmed

Note:

  • Thymidine in DNA

  • Uracil in RNA

28
New cards

Drug Targets: Chain Cutters

  • cross-link with DNA

  • form ROS (Reactive Oxygen Species) near DNA which attack and damage DNA

  • eventually cuts DNA chains

29
New cards

Drug Targets: Nucleic Acids

  • target DNA, RNA, or their production

Intercalating Agent:

  • insert between DNA base pairs and cause damage and error

Non-Intercalating Agent:

  • can inhibit topoisomerases

Chain Cutters:

  • form ROS and attack chains

Alkylating Agents:

  • old school among chemotherapeutic agents

  • form cross-links on the strands themselves and change structure

  • prevents recognition by polymerase; either is repaired or process halts

Antimetabolites:

  • folic acid, or actual nucleic acid bases

Antisense Therapy:

  • uses antisense nucleotides to target specific mRNA to turn on/off specific genes

30
New cards

angy dia

knowt flashcard image
31
New cards

Topoisomerases

  • relieve torsion stress in DNA unwinding

Types:

Topoisomerase I:

  • only capable of single strand breaks

  • must cut DNA strand to remove supercoiling

Topoisomerase II:

  • capable of double strand breaks

Note: suicide substrates (die with receptor) can kill topoisomerases (topoisomerase poisons)

  • when topoisomerase is damaged; will be disposed of by proteasome

Note: some drugs inhibit by attaching to both DNA and topoisomerase, while some just attach to the DNA

32
New cards

Topoisomerase Inhibitors (Intercalating): Anthracyclines

  • Intercalator

  • ex: doxorubicin, daunorubicin

  • planar, flat structure of anthraquinone part allows to fit in between bases in DNA chain

  • Nitrogen in DNA bases attacks N-C Carbon on sugar-amine part; alkylates the DNA

  • prefers Cytosine and Guanine due to hydrogen bonding between bases and drug, and van der Wals

  • technically also inhibits DNA Polymerase

  • also generates ROS to damage DNA

Side Effects:

  • cardiotoxic

  • has high affinity for cardiac tissue

  • sugar-amine + planar = hydrophilic head, hydrophobic tail emulation

    • incorporates into cell membrane

    • increases drug permeability; general membrane disruption

  • also ROS generation can cause toxicity

  • ROS generation due to anthraquinone nature (can form quinone radicals)

33
New cards

Topoisomerase Inhibitors (Intercalating): Mitoxantrone

  • intercalating agent

  • stabilizes near DNA due to hydrogen bonding

Mechanism:

  • forms Schiff Base (Imine) with any nearby carbonyl

  • Imine is electrophile, Nitrogen in DNA attacks carbon attached imine

  • forms alkylation

  • favors guanine residue

34
New cards

Topoisomerase Inhibitors (Intercalating): Dactinomycin

  • peptide polyketide

  • triplanar, intercalating agent

  • attaches to minor groove of DNA

  • positively charged amino form is predominant in solution

  • forms ionic bond with DNA negative phosphate backbone

  • inhibits Topoisomerase II

  • favors C-G Pairs (due to Hydrogen Bonding)

35
New cards

Topoisomerase Inhibitors (Non-Intercalating): Etoposide

  • intercalating agent

  • from natural product

  • can bind with either topoisomerase, DNA, or both

36
New cards

Topoisomerase Inhibitors (Non-Intercalating): Camptothecins

  • can intercalate, but not generally known for that

  • via van-der Wals forces (Rings A & B), and hydrogen bonds

  • can bind to Topoisomerase I and DNA at the same time

  • cell cycle nonspecific: toxic even to non-replicating cells

  • ex: topotecan (ovarian cancer), irinotecan

37
New cards

Chain Cutters

  • long, polypeptide antibiotics

  • ex: bleomycin, calicheamicin

  • highlighted portions generate free radicals within DNA structure

Mechanism:

  • Nucleophile attacks sulfur, causes electron rearrangement and breaks aromaticity

  • involves generation of diradical to regenerate aromaticity

  • Causes DNA to form diradical, resulting in oxidative cleavage

38
New cards

Alkylating Agents

  • old school, but still work (though are quite toxic)

  • Cell Cycle Non-Specific

    • tend to ironically cause secondary cancer due to damage

  • contain highly electrophilic groups

  • form covalent bonds to nucleophilic groups in DNA

  • particular target: 7-N of guanine (same as previous alkylating)

  • prevent replication and transcription via irreversible structure change

  • very effective; very toxic (strong electrophiles tend to be toxic to body, ex: alkylating proteins)

39
New cards

Alkylating Agents Mechanism

  • cross-linking

  • have good leaving group attached (generally two)

    • electrophile is generated when GLG leaves

  • Nucleophile in DNA attacks electrophile, forms covalent bond

  • generally prodrugs; leaving groups only leave when in body

Intrastand:

  • binds two ends to the same strand

  • generally for smaller alkylating agents

Interstrand:

  • binds two ends of two different coiled strands

40
New cards

Alkylating Agents Examples

Nitrogen Mustards:

  • mechlorethamine

  • melphalan

  • chlorambucil

  • Uracil Mustard (most effective because cell recognizes it as uracil and it can go through the uracil transporters; then triphosphorylated)

  • estramustine

  • ifosfamide

41
New cards

Phosphamide Activation

  • type of nitrogen mustard

  • starts as cyclophosphamide 

    • relatively nontoxic

  • hydroxylated by Cytochrome P450 enzymes into 4-hydroxyclyclophosphamide

  • then transforms in aldophosphamide

  • then converted to phosphoramide mustard (acrolein group leaves)

42
New cards

Nitrosoureas

  • also alkylating agents

  • highly lipid soluble, can cross BBB

  • used for brain tumor, meningeal leukemia

  • ex: Lomustine, Carmustine, Streptozocin (also used to induce diabetes in rats)

Mechanism:

  • initially transformed, electrophile activated by CYP450 enzymes

  • Electrophiles are attacked by C-G DNA Bases

43
New cards

Busulfan

  • not processed by enzymes as prodrug; self-destructs to form electrophile

    • via direct SN2 reaction with sulfonate groups

  • selective bone marrow targeter

44
New cards

Platins

  • one of the most prescribed but most expensive cancer treatments

  • contains platinum in the structure

  • effective intrastrand cross-linker (all previous were interstrand)

  • ex: Cisplatin, Carboplatin, Oxiplatin

  • favors guanine residue

  • used for testicular and ovarian cancer

Mechanism:

  • LGs are attached to Pt

  • Water attacks Pt, kicks off LG

  • DNA Nu attacks Pt, kicks off water

  • process repeats for second DNA Nu

  • ends with intrastrand crosslink

45
New cards

Dacarbazine and Procarbazine

  • processed by CYP450 to form electrophile

  • complex structures, but end as CH3+ electrophile only (methyl cation)

  • not cross-linkers, only alkylating agent (methylates with cation)

  • for melanoma and Hodgkin’s Lymphoma

46
New cards

Mitomycin C

  • undergoes biotransformation by reduction

  • forms electrophile and again, is attacked by DNA

  • forms alkylation and interstrand crosslinking

  • prefers guanine residues

47
New cards

Antimetabolites

competitive inhibitors; prevent synthesis of DNA by reducing metabolite count

  1. Ribonucleotide Reductase Inhibitors

  2. Adenosine Deaminase Inhibitors

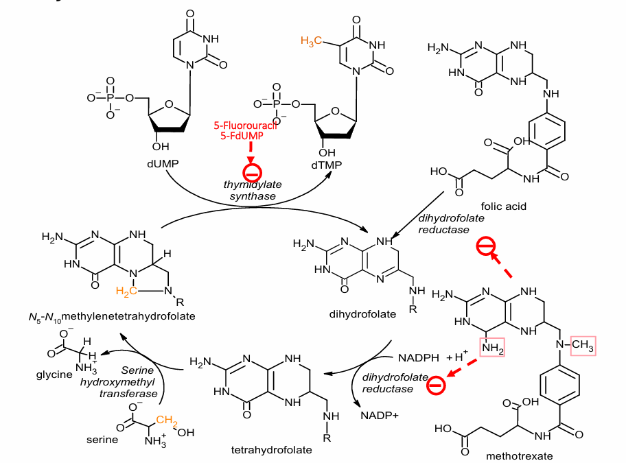
  3. Thymidylate Synthase Inhibitors

  4. Dihydrofluorate Reductase Inhibitors

  5. DNA Polymerase Inhibitors

  6. Purine Antagonists

48
New cards

Ribonucleotide Reductase Inhibitors

  • Ribonucleotide Reductase converts Ribonucleotide to Deoxyribonucleotide

    • Ribonucleotide: monomer for RNA

    • Deoxyribonucleotide: monomer for DNA

  • inhibition = no starting material for DNA synthesis

  • ex: hydroxyurea

Note: due to this mechanism, thioredoxin reductase inhibitors will give similar effect

49
New cards

Adenosine Deaminase Inhibitor

  • AMP Deaminase converts AMP to IMP (Inosine Monophosphate)

    • IMP is an intermediate for AMP, GMP, etc which are used for DNA Synthesis

    • Also may become degredation product

  • prevents DNA synthesis by reducing intermediates

  • ex: Pentostatin

Note: no approved drug yet

50
New cards

Thymidylate Synthase Inhibitor

  • converts deoxyuridine monophosphate (dUMP) to 5-deoxythymidine monophosphate (5-dTMP)

  • important for process of converting uracil (for RNA) into thymidine (for DNA)

  • ex: Raltitrexed, 5-fluorouracil

    • 5-fluorouracil is converted to 5-fdUMP form, then competitively binds to enzyme

51
New cards

Dihydrofolate Reductaste Inhibitors

  • conversion of uracil to thymidine involves methylation

  • methyl group comes from tetrahydrofolate (Vitamin B9)

  • turns into dihydrofolate, must be reduced back into tetrahydrofolate

  • inhibition = no methylation of uracil = no thymidine 

  • ex: Methotrexate (appears similar to folic acid); non-selective

    • because N is already

52
New cards

DNA Polymerase Inhibitors

Nucleoside Antimetabolites:

  • purine or pyridine looking sugar bases (nucleosides)

  • exist as prodrugs: body turns them into triphosphates

  • bind to DNA Polymerase instead of actual nucleotide base; prevents continuation as new bases can not attach to drug

  • also not de-oxy (has extra OH group); prevents continuation

  • ex: cytarabine, gemcitabine, fludarabine

Purine Antagonists

  • appear like purine bases (no sugar)

  • processed by body from prodrug into active form

Note: both have to be activated into triphosphate form

53
New cards

Hormone Based Therapy

often steroidal agents (except GnRH Agonists)

  1. Glucocorticoids

  2. Estrogens

  3. Progestins

  4. Androgens

  5. Gonadotropin-Releasing Hormone (GnRH) Agonists

  6. Antiestrogens

  7. Antiandrogens

  8. Aromatase Inhibitors

  9. Adrenocortical Suppressors

Note: receptor locations are either on cell surface (cascade to nucleus), or on nucleus

54
New cards

Glucocorticoids

  • mimic cortisol

  • taken orally for leukemias and lymphomas

  • ex: Prednisolone, Prednisone

55
New cards

Estrogens

  • different from androgens because they are aromatic

  • act as antagonists to counter androgen/testosterone, for testosterone-based/prostate cancers (ex: testicular cancer)

  • also act as antimetabolites for estrogen

  • lipophilic, intracellular; steroidal receptors are in nucleus, bind to DNA

    • receptors act as Transcription Factors

    • upon activation, dimerizes, adds to co-activator protein, then acts as T-Factor

  • ex: ethinylestradiol, diethylstilberstrol, diethylstilbestrol biphosphate, estramustine phosphate

Product is either another receptor or enzymes needed for hormone synthesis

56
New cards

Antiestrogens

  • estrogen antagonists

    • generally: antagonists are larger than competition

    • due to large locking side chain

  • can displace estrogen due to having higher affinity for enzyme

  • locks enzyme into inactive state

  • transcription does not proceed

  • for breast cancer, endometrial cancer, etc.

  • ex: Fulvestrant

57
New cards

Progestins

  • emulate progesterone

    • non-aromatic, so no longer estrogen

  • for breast cancer, endometrial cancer, etc.

  • ex: medroxyprogesterone acetate, megestrol acetate

58
New cards

Androgens

  • non-aromatic, differentiates from estrogen

  • Androgens can help treat breast cancer, ovarian cancer, etc. (estrogen dependent cancers)

  • ex: fluoxymestrone, testosterone proprionate, testolactone

59
New cards

Antiandrogens

  • antagonists for androgens that are not estrogens

  • for testicular, prostate, androgen dependent cancers

  • ex: biclutamide (very selective for androgen)

60
New cards

Gonadotropin Releasing Hormones (GnRH) Agonists

  • Gonadotropin Releasing Hormones triggers release of luteinizing hormone from pituitary gland

    • goes to gonads; triggers release of sex hormones

  • agonists mimic GnRH (are also peptides)

  • used to produce the sex hormone to counter the cancer (ex: estrogen for prostate cancer)

  • long-term effect: prolonged use = desensitization

    • leads to drop in luteinizing hormone

    • leads to eventual drop in sex hormone release

  • used for advanced prostate cancer

  • ex: Leuprolide, Goserelin

61
New cards

Aromatase Inhibitors

  • 2nd line treatment for estrogen-dependent breast cancer (resistant to tamoxifen)

  • antimetabolite for hormone

  • Androgen is nonaromatic, Estrogen is aromatic

    • aromatase makes androgen aromatic; part of estrogen conversion

    • is part of CYP450

  • androgen → 4-hydroxyandrostenedione → estrogen

  • aromatase turns 4-hydroxy into estrogen

  • inhibition decreases estrogen synthesis

  • have reversible and irreversible inhibitors

  • for estrogen dependent cancers

  • the reversible ones are competitive

Reversible:

  • competitive

  • ex: aminoglutethimide, letrozole

Irreversible

  • ex: 4-hydroxyandrostenedione, exemestane

62
New cards

Adrenocortical Suppressors

  • for adrenocortical tumors

  • limit the action of adrenocorticotropic hormone (ACTH) 

  • helps treat cancers that form on adrenal gland

  • ex: mitotane

63
New cards

Target: Structural Proteins

  • tubulin

  • tubulin is the structural proteins in microtubules

    • important for mitotic spindle

  • inhibition of tubulin polymerization OR depolymerization will eventually lead to cell death

  • vinca alkaloids inhibit polymerization (ex: vinblastine, vincristine)

  • paclitaxel inhibits depolymerization

  • generally function only during mitotic phase

  • will generally spell apoptosis if can not depolymerize

    • cell needs to dissolve spindles after separation

64
New cards

Target: Signaling Pathway

  • for growth factor signaling cascades

  • tyrosine kinases dimerize to activate signaling pathway upon GF binding

  • Activates RAS protein which starts cascade that ends with gene transcription

Monoclonal Antibodies:

  • bind to either GF or GFR

Protein Kinase Inhibitors:

  • competitive inhibitors for phosphorylating substrate

  • must enter cell to work

Farnesyl Transferase Inhibitors:

  • essentially inhibit RAS protein by blocking RAS binding

65
New cards

Monoclonal Antibodies

Very specific, will not work otherwise

ex: Trastuzamab

  • HER2 receptor

  • for certain breast cancers (HER2 positive)

  • induces immune response upon binding

  • induces downregulation of receptor

66
New cards

Protein Kinase Inhibitors

Major Classes:

  • Tyrosine Kinases

  • Serine/Threonine Kinases

  • Histidine Kinases

Main Type of Inhibitors:

  • Type I: Active Conformation Binders

    • Bind to active dimerized receptor

    • prevent actual substrate from getting in

    • ex: Gefitinib - for chronic myeloid leukemia; first to target unique molecular structure for cancer (competes for ATP; extra region binds to hydrophobic region as anchor)

  • Type II: Inactive Conformation Binders

    • Bind to inactivated receptor

    • stabilize inactive form

    • Ex: Imatinib - first marketed PKI, used for chronic myeloid leukemia

67
New cards

Farnesyl Transferase Inhibitors

  • FT instrumental to GF cascade

  • RAS Protein only attaches to membrane when farnesylated

    • needs to be membrane-bound because recepto

  • inhibits RAS attachment

  • stops signaling cascade of Growth Factor

68
New cards

Miscellaneous Enzyme Inhibitors:

  1. Matrix Metalloproteinase Inhibitors

  2. Cyclooxygenase Inhibitors

  3. Proteasome Inhibitors

  4. Histone Deacetylase Inhibitors

69
New cards

Matrix Metalloproteinase Inhibitors

  • MMPs dissolve ECF

  • inhibition prevents dissolution, inhibits angiogenesis

  • cancer can not access nutrients

  • ex: Marimastat, Prinomastat

  • resemble peptides to attach to proteinases

  • are transition state inhibitors (higher affinity)

70
New cards

Cyclooxygenase-2 Inhibitors

  • COX-2

  • Inflammation, pain

  • Celecoxib

  • a symptomatic treatment, doesn’t treat cancer, but does treat resulting bad symptoms

71
New cards

Proteosome Inhibitors

  • more novel

  • inhibition can promote apoptosis

  • proteosome is important in many cell cycle steps

  • Proteosome: protein trash can

    • often unfolds or breaks misfolded proteins (tagged by ubiquitin)

  • P53 Protein: tumor suppressor protein

    • if discard/thrown to proteosome too much, tumors happen

  • Inhibition of proteosome decreases uncontrolled P53 degradation

  • Halts cell proliferation

  • targets myeloma

72
New cards

Proteosome Inhibition effects

  • prevents angiogenesis; metastasis

  • inhibits breakdown of some antibodies

  • can cause apoptosis

  • can inhibit necrosis factor kB

  • eventually causes folded protein response? = apoptosis

73
New cards

Histone Deacetylase Inhibitors

  • epigenetic target

  • HDs remove acetyl group from histones, make them positive

  • Negative phosphate of DNA then winds around it

  • if wound, is not expressed (silences)

  • If too much Tumor Suppressor Genes are suppressed = cancer

  • Action: inhibits deacetylase, freeing Tumor Suppressor Genes

  • resemble epsilon-amino area of Lysine

  • Vorinostat: first FDA approved in this class (hits HDAC1, HDAC2, HDAC3, HDAC6)

  • can also promote immune response

74
New cards

Synthetic Agents

Thalidomide:

  • notoriously teratogenic (baby with no limbs)

  • immunomodulator for multiple myeloma

  • repurposed: from nausea and morning sickness for pregnant woman to drug for cancer

Revamid

  • d

Actimid:

  • d

Arsenic Trioxide:

  • orphan drug (no category it can be put under)

  • effective for certain leukemias

  • suspected to target mitochondria via generation of ROS

75
New cards

Natural Products

  • promising use

Cephalostatin & Pancra:

  • potent for

  • not yet in clinical trials

76
New cards

Protein Therapy

  • Angiostatin

  • Endostatin

  • Alpha-Interferons

    • Complement immune response

    • Upon injection; promotes immune ability against cancer cells

  • TRAIL (Tumor Necrosis Factor Related Apoptosis Induced Ligand)

    • Short polypeptides

    • Not really in investigation anymore

  • L-asparaginase

    • Some cancers rely on amount of asparagine

    • Asparaginase deprives cancers of them

77
New cards

Cell Targeted Therapy

  1. Antibody-Drug Conjugates

  2. ADEPT

  3. GDEPT

  4. AFN

selective for certain target cells/cancer cells

  • hoping certain cancers have unique signals

  • if it happens that cancers only overexpress some proteins (but don’t make unique ones), then this may not work as well

78
New cards

Antibody-Drug Conjugates

  • drug is attached to an antibody

  • antibody is selective for cancer antigen

  • Antibody connects to cancer cell, bringing drug with it

  • Drug now in close proximity with cancer cell; can enter cancer cell

79
New cards

Antibody Directed Enzyme Prodrug Therapy (ADEPT)

  • To avoid premature activation: conjugates enzyme with antibody

  • Enzyme connects to antibody connects to target

  • Injects drug into blood

  • Drug will be activated by enzyme when at target site

  • Still has some risk of going somewhere else and being toxic

80
New cards

Gene Directed Enzyme Prodrug Therapy (GDEPT)

  • gene encoding for drug activating enzyme is administered to cancer cells

  • cancer cells begin producing enzyme

  • prodrug is administered, activated upon entering cell

  • nontoxic to all other cells, only become toxic upon entering cell

81
New cards

Aptamer-Functionalized Nanoparticle

  • no approved yet

  • Aptamer: single stranded DNA/RNA that is highly selective for

  • Plasmid DNA: codes for proteins that induce apoptosis

  • may also contain a cytotoxic agent

  • Aptamers bind to cell and it is taken in via receptor mediated endocytosis

  • Activates and induces apoptosis

82
New cards

Photodynamic Therapy

  • given light sensitive drug

  • drug is distributed to oxygen-hungry cancer cells

  • laser shone on cancer spots, activates drug; kills

  • less effective in oxygen deficient tumor environment

  • less effective for large tumors

83
New cards

Photothermal Therapy

  • administers chemotherapeutic agent

  • it distributes

  • shoots it with light and heat laser

84
New cards

Combination Therapy

  • rational drug combinations

  • cancer is very resilient, adaptive, and has multiple mechanisms

  • as such, combination therapy with several rationally combined agents can be more effective

  • challenge is to pick correct combination

Ex:

  • targeting signaling pathway, and then targeting its reactivation/alternative step

  • Maximal driver pathway inhibition

  • Enhanced synthetic lethality

  • Collateral lethality: gene therapy?

  • Alternating treatment for addiction or resistance

  • Targeting heterogeneity and drug resistant pools (combo of drug for sensitive and drug for resistant; ex: selective + nonselective combo)

  • Targets Immune Cell Function

  • Modulating tumor and environment

  • ICB (Antibody) + Chemo + Radio

  • Sensitizing tumor cells to immunotherapy

  • Modulating microbiome

  • Neoadjuvant therapies

If just chemotherapy, may ignore what happens outside the cell that may contribute to cancer

85
New cards

Experimental Combination Therapy

  • chemo + Antibody

  • cytokine + antibody

  • Inhibitors + Nucleic Acids

  • T-Cells + chemo

Aptamers very usefu