1/39
Fármacos Resinosos, Saponósidos, Glucosinolatos e Heterósidos Cianogénicos
Name | Mastery | Learn | Test | Matching | Spaced | Call with Kai |
|---|
No analytics yet
Send a link to your students to track their progress
FÁRMACOS RESINOSOS
obtidos por incisões de plantas vivas
oleo resinas
Ácidos Diterpénicos
derivados do pirofosfato de gerenilgerenilo

o ácido levopimárico (proveniente da terebentina, parte não volatil da extração, a parte volátil resulta no óleo essencial) com aquecimento transforma-se no ácido abiético
a via de sintese do ácido abiético é a desoxixilulose fosfato e este forma-se pois se faz a destilação por interação humana, logo este não tem percursor (tal como a situação da matricina)

Qual é a composição dos bálsamos ?
para que são utilizados ?
benzoato de coniferilo = álcool conferílico + ácido benzóico (via chiquimato)
cinamato de benzilo (ambos via chiquimato) = álcool benzílico + ácido cinâmico
Aromatizantes e antisséticos
SAPONÓSIDOS/saponinas (pergunta da stora):
porque é que um cardiotónico pode ser saponósido e não o contrário ?
exemplos de saponósidos na alimentação e o seu efeito
quais são as 3 propriedades que eles tem
por que via são formados
devido à relação estrutura atividade
ervilhas, soja etc, diminuem o colesterol e tem propriedades anticarcinogénicas
afrogénicas (tensioativos fazem espumas), ictiotóxicas (tóxicas para animais de sangue frio por exemplo peixes e hemolíticas
via mevalonato

natureza triterpénica e natureza esteroídica da genina (parte não glicosídica da molécula)
no triterpeno temos metilos em C4 e C14 já no esteroidico tem essas posições livres

esqualeno (formado por via mevalonato)
é adjuvante da vacina da gripe, facilita a permeabilidade da pele para entrar anti víricos
forma-se apartir de 2 moléculas de pirofosfato de fernesilo
Biossíntese das geninas apatir do esqualeno
Esqualeno (molécula linear)
Ponto de partida (triterpeno linear)
Formação de 2,3-epóxi-esqualeno
O esqualeno sofre epoxidação
Forma-se um epóxido (anel com oxigénio)
Abertura do epóxido
O epóxido abre → gera um carbocatião
Este passo inicia a ciclização
Ciclização da molécula
A cadeia dobra e forma anéis
O tipo de estrutura depende da conformação da molécula
Formação de dois catiões possíveis
🔹 Catião protostano
Origina:
cucurbitanos
cicloartanos
🔹 Catião damarano
Origina:
triterpenos pentacíclicos

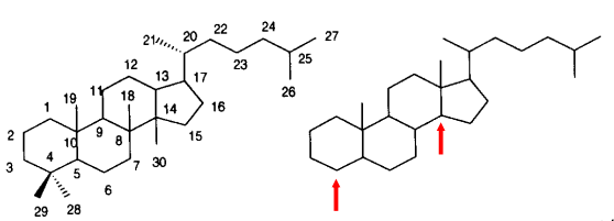
GENINAS ESTEROÍDICAS
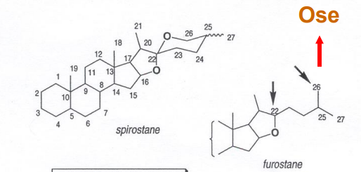
C26 está sempre ligado a um açucar (quando o esqueleto é furastano)
espirostano
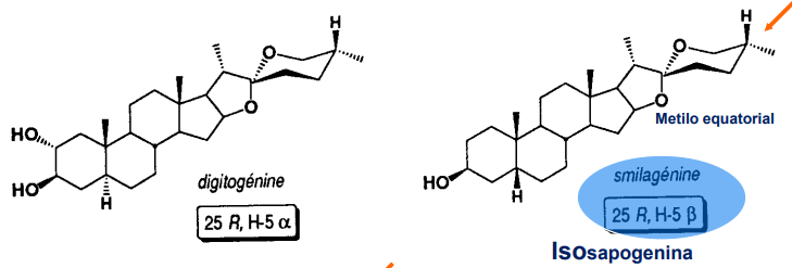
neosapogenina
isosapogenina


digitogenina
isosapogenina
GENINAS TRITERPÉNICAS
30 C
no nucleo esteroídico o primeiro composto possui 2 OH já o segundo 3OH (maneira de os distinguir)

SAPONÓSIDOS MONODESMOSÍDICO E BIDESMÓSIDICO
No caso da existência de apenas uma cadeia glicídica, esta está normalmente ligada ao carbono em posição 3 por uma ligação éter (situação comum a geninas esteroídicas e triterpénicas)
• No caso de presença de uma segunda cadeia, esta poder estar ligada à genina: 1. por uma ligação éster com o carboxilo no carbono em posição 28 (geninas triterpénicas)
2. por uma ligação éter ao hidroxilo no carbono em posição 26 (genina esteroídica de esqueleto furostano).

O furostanol dá origem ao furastano por hidrólise ácida

segenina
Hidrólise ácida: ocorre a saída da glucose
Hidrólise alcalina: a molécula mais os açucares e o ácido cinâmico
Animais homeotérmicos: toxicidade por via oral (reduzida) e parenteral (aumentada)
adjuvantes em vacinas e redutores de odor fecal de animais

alcaçuz (Glycyrrhiza glabra)
Raízes e rizomas
Principal saponósido: glicirrizina ou ácido glicirrízico
para retirar a genina do composto: triturar raiz e adicionar HCl isolando a genina OU outra maneira é por HPLC extraidas por solvente apolar
Utilização: Ácido glicirrético (Denominação comum internacional (DCI): enoxolona): Anti-inflamatório de ação tópica; eczemas, picadas de insectos, dermites seborreicas da cara, eritemas solares, etc,)

extraídos das sementes (boas repelentes de insetos) do castanheiro da india
anti edimatoso usado no tratamento de ulceras e da mucosa bocal
a beta escigenina tem menor ação farmacológica mas se a pessoa estiver mais fragilizada o médico pode indicar esta

O que resulta das hidrólises da β-escina
Da hidrólise ácida resulta a β-escina sem as glucoses e sem o ácido glucorónico (afeta a ligação éter);
Da hidrólise alcalina resulta a β-escina sem o ácido tíglico e sem o ácido acético (afeta a ligação éster);

-Sem a glucose na cadeia glicídica do OH em C-1 – desglucoruscósido (furostano)
Sem a glucose no OH em C-26 é ruscina (espirostano).
Sem as duas glucoses é desglucoruscina (espirostano).
de rizomas e saizes da gilbardeira

lupeol (da calêndula flores)
Saponósidos de genina triterpénica de esqueleto oleanano e lupano

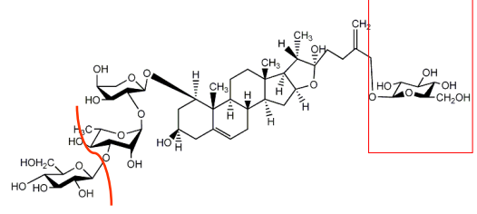
Ginsenósido Rb1
Saponósidos de genina triterpénica tetracíclica da série do damarano
da raiz de ginseing

Protopanaxadiol Genina do Ginsenósido Rb1
Saponósidos de genina triterpénica tetracíclica da série do damarano
da raiz de ginseing
nota ginseing:
as suas atividades como tónico ou reconstituinte não parecem causar dúvidas, e é considerado um adaptogénio
Ação Farmacológica: Tratamento da disfunção eréctil; aumento da síntese do óxido nítrico, vasodilatador
Quais são as moléculas mais interessantes como percursores de esteróides ?
sendo a Diosgenina na Dioscorea mexicana Gill o mais importante

Extração da Diosgenina

Conversão das sapogeninas em esteróides de interesse farmacêutico:


progesterona
testosterona
fitoesterois
HETERÓSIDOS CARDIOTÓNICOS
tratam insuficiência cardíaca congestiva
2 tipos de classe: Bufadienólidos (aparecem nos búfalos) e Cardenólidos (origem vegetal à maior predominância)
folhas contém as propriedades e não se devem tomar infusões desta planta pois pode causar falha cardíaca
Características dos cardiotónicos
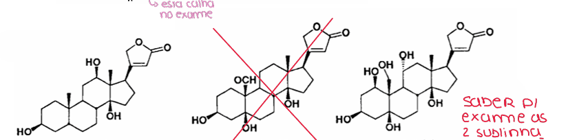
núcleo esteroidal com junção dos anéis A/B cis, B/C trans e C/D cis
lactona insaturada em C17β (5-membros nos cardenolídeos, 6-membros nos bufadienolídeos) e OH β em C3 (glicosilado ou livre, mas se substituído, geralmente por glicose) e OH em C14β para potência máxima
qual a diferença entre heterósidos primários e secundários ?
o que determina a atividade farmacológica na molécula ?
qual a função da cadeia glicídica ?
qual a influência do estado da planta ?
Heterosídeos primários possuem cadeia glicídica completa, com glicose terminal extra, Heterosídeos secundários têm cadeia glicídica reduzida (sem glicose terminal), formados por hidrólise enzimática durante secagem ou armazenamento
a genina
cadeia glicídica melhora a solubilidade em água, absorção gastrointestinal e biodisponibilidade dos heterosídeos primários vs. geninas lipofílicas e pouco solúveis
Em plantas frescas, predominam heterosídeos secundários com glicose terminal (primários); secagem/armazenamento causa hidrólise enzimática espontânea, convertendo para secundários (cadeia reduzida).

digitoxigenina (saber as posições 3 e 17)

digoxigenina
ouabagenina

beta-D-digitoxose
alfa-L-ramnose
Mecanismo de Ação dos Cardiotónicos:


para passar de digitoxigenina para gitoxigenina (H → OH)
D → aD (acetilação ou desacetilação caso seja ao contrário)
para retirar açucares beta-glucosidase
digitoxigenina
das folhas da dedaleira


das folhas da digitalis lanata

GLUCOSINOLATOS
Em ensaios com animais, estabeleceram-se relações entre o consumo destes compostos e perturbações funcionais da tiróide, nomeadamente bócio (tiocianatos) e a diminuição de risco de desenvolvimento de carcinoma (isotiocianatos)
quais as enzimas que hidrolisam os glucosinolatos e quais os tipos de compostos formados ?
as enzimas que hidrolisam os glicosinolatos são a mirosinase (que retira a glucose) e a mirosulfatase (hidrolisa a genina) e podem se formar isotiocianatos, nitrilos e tiocianatos
Biossíntese
N-hidroxilação do aa
Descarboxilação dos aa resulta na aldoxima
Incorporação de S da cisteína
é glicosilada apartir da UDP Glc
é sulfatada por uma sulfotransferase que atua na PAPs


Brassica nigra (mostarda negra)
sinalbina
percursor tirosina

sinigrina
brassica alba (mostarda branca)
homometionina é o percursor da tioglucose