1/8
Looks like no tags are added yet.
Name | Mastery | Learn | Test | Matching | Spaced |
|---|
No study sessions yet.

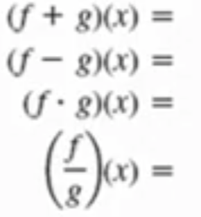
Solve each


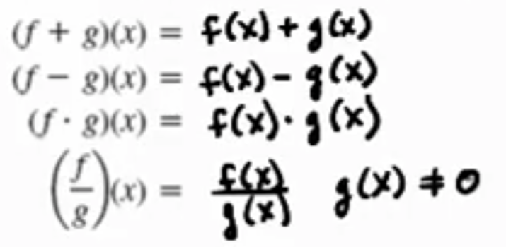
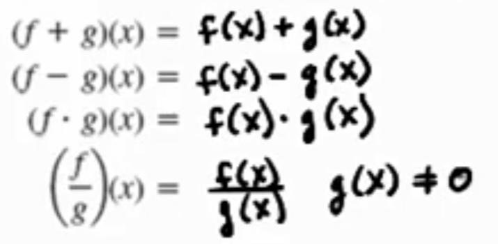
For the bottom function with the fraction, why can’t g(x) = 0 ?
Because that would make the fraction undefined since you can’t divide by 0

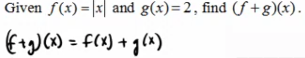
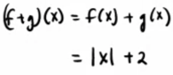
What is f(x) + g(x) in this problem?
|x| + 2


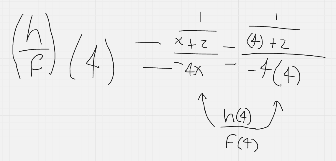
How would you initially set up the (h/f)(4)?
Before even substitution or solving.


How would your answer look like after substituting the expression of each of the two functions? (just substituting, no simplifying yet)


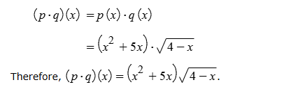
What is the domain of (p*q)(x)?
p is all real numbers (-∞, ∞) since there’s no fraction denominator or even root radical restriction.
q is (-∞,4] since there is even radical square root restriction where
4 -x ≥ 0 —> 4 ≥ x
So (p*q)(x) is (-∞,4]

scenario: lone fraction and lone radical restriction (radical in numerator)
What is the domain of (q/r)(x)?
Tell if each radical and fraction restriction have a bracket or parenthesis when written in interval notation, and why?
The fraction interval notation is with just parenthesis since 0 ≠ x because of denominator/fraction restriction not including zero but getting close to it, unlike ≥ ≤ which actually includes the value itself too.
The radical interval notation has a bracket on it since it is “less than or equal to 7” so since it includes 7 too, it gets bracket.


scenario: joint fraction and radical restriction (radical in denominator)
What is the domain of (r/q)(x)?
Does the joint fraction/radical restriction have a bracket or parenthesis when written in interval notation, and why?
The joint fraction/radical has no brackets because even though the radical alone would be (-∞,3] ; the 3 can’t be both greater than or equal to x since 3 is also a restricted value of the fraction which makes the denominator equal to 0, so 3 can’t be included.
![<p>The joint fraction/radical has no brackets because even though the radical alone would be (-<span>∞,3] ; the 3 can’t be both greater than or equal to x since 3 is also a restricted value of the fraction which makes the denominator equal to 0, so 3 can’t be included.</span></p>](https://knowt-user-attachments.s3.amazonaws.com/1e426908-efb6-44fb-9f7b-51a41a6379f3.png)

What are the restricted value(s) of x?
Also write in interval notation. Will there be parenthesis or brackets?
