1/215
Looks like no tags are added yet.
Name | Mastery | Learn | Test | Matching | Spaced | Call with Kai |
|---|
No analytics yet
Send a link to your students to track their progress

What is the name of this reaction?
Radical halogenation of an alkane

What is the major product of this reaction?
Halogen substitution; racemic mixture of products

What are the characteristics of this reaction?
Initiation, propagation, and termination steps; Br is more regioselective, Cl is less

What is the name of this reaction?
Electrophilic addition of alkene

What is the major product of this reaction?
Markovnikov addition of halogen

What are the characteristics of this reaction?
Carbocation, Markovnikov, polar reaction

What is the name of this reaction?
Acid-catalyzed hydration of alkene

What is the major product of this reaction?
Markovnikov addition of alcohol

What are the characteristics of this reaction?
Carbocation, Markovnikov

What is the name of this reaction?
Radical addition of HBr

What is the major product of this reaction?
Anti-Markovnikov bromine addition

What are the characteristics of this reaction?
Radical reaction, no carbocation, Anti-Markovnikov

What is the major product of this reaction?
Racemic enantiomer mixture of halogens on both sides of the double bond

What is the name of this reaction?
Halogenation of alkene

What is the major product of this reaction?
Racemic enantiomer mixture of halogens on both sides of the double bond

What are the characteristics of this reaction?
Anti-Addition, bromonium/chlorinium intermediates

What is the name of this reaction?
Vicinal halohydrin formation

What is the major product of this reaction?
Racemic enantiomer mixture of OH on Markovnikov position and halogen on Anti-Markovnikov position

What are the characteristics of this reaction?
Anti-addition, bromonium ion formation

What is the name of this reaction?
NBS with alkene

What is the major product of this reaction?
Racemic mixture of allylic bromine positions

What are the characteristics of this reaction?
Resonance-stabilized allylic radical, double bond remains, radical reaction

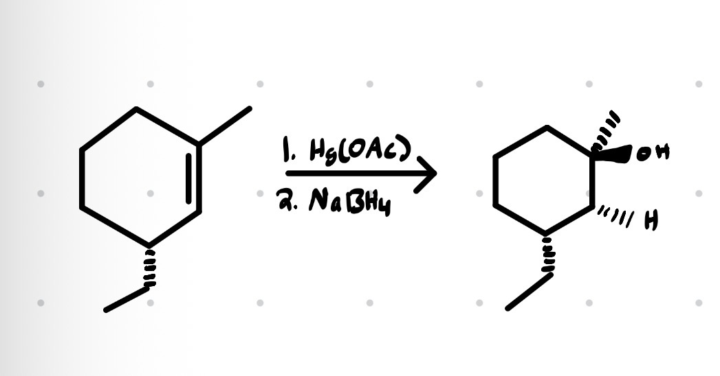
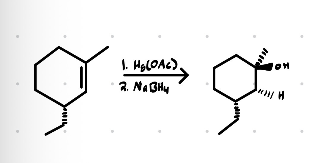
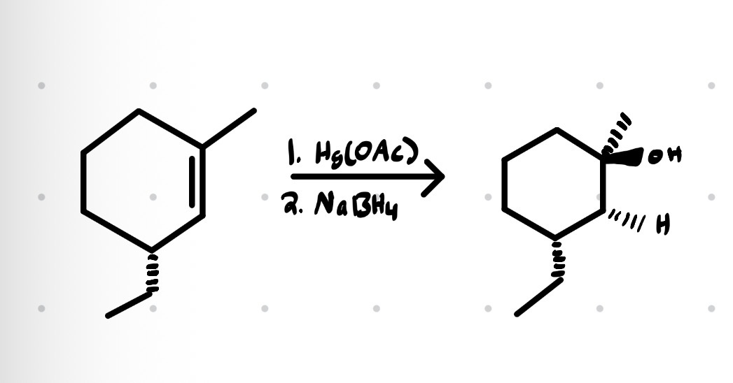
What is the name of this reaction?
Oxymercuration of alkene

What is the major product of this reaction?
Markovnikov addition of OH

What are the characteristics of this reaction?
Anti-Addition, Markovnikov, no carbocatio

What is the name of this reaction?
Hydroboration-oxidation of alkene

What is the major product of this reaction?
Anti-Markovnikov addition of OH → Alkene

What are the characteristics of this reaction?
Anti-Markovnikov, Syn addition, no carbocation, can use BH3 or B2H6H

What is the name of this reaction?
Hydrogenation of alkene

What is the major product of this reaction?
Alkene reduction to alkane

What are the characteristics of this reaction?
Syn addition, H adds to less sterically hindered side, Pd, Pt, or Ni catalyst

What is the name of this reaction?
Carbene addition

What is the major product of this reaction?
Carbene with two syn addition chlorines attached

What are the characteristics of this reaction?
Carbene intermediate, Syn addition

What is the name of this reaction?
Simmons-Smith

What is the major product of this reaction?
Carbenoid

What are the characteristics of this reaction?
Syn addition

What is the name of this reaction?
Epoxidation

What is the major product of this reaction?
Epoxide

What are the characteristics of this reaction?
Syn addition

What is the name of this reaction?
Anti-dihydroxylation

What is the major product of this reaction?
Racemic enantiomeric mixture of a DIOL across the double bond

What are the characteristics of this reaction?
Backside attack, Anti-addition → Trans diol

What is the name of this reaction?
Ozonolysis

What is the major product of this reaction?
2 carbonyls, either ketone or aldehyde

What are the characteristics of this reaction?

What is the name of this reaction?
Syn-Dihydroxylation

What is the major product of this reaction?
Racemic mixture, syn addition of 2 alcohols on vicinal carbons

What are the characteristics of this reaction?
Racemic mixture, syn addition

What is the name of this reaction?
Potassium permanganate on alkene (Acid)

What is the major product of this reaction?
DB cleavage, carbonyl formation

What are the characteristics of this reaction?
Terminal C → CO2, Primary → carboxylic acid, Secondary → Ketone

What is the name of this reaction?
Potassium permanganate on alkene (basic)

What is the major product of this reaction?
Syn dihydroxylation, racemic mixture

What are the characteristics of this reaction?
Requires basic and cold conditions

What is the name of this reaction?
Vicinal halohydrin

What is the major product of this reaction?
OH on

What are the characteristics of this reaction?
Anti-addition, OH on markov

What is the name of this reaction?
Vicinal halohydrin to epoxide

What is the product of this reaction?
Epoxide

What are the characteristics of this reaction?
Electrophilic addition of bromine, SN2 backside attack on bromine to form epoxide w/ anti-addition

What is the name of this reaction?
Epoxide formation with mCPBA

What is the major product of this reaction?
Epoxide

What are the characteristics of this reaction?
Retention of stereochemistry across the double bond

What is the name of this reaction?
Addition of HBr (1eq) to alkyne

What is the major product of this reaction?
Alkyne → alkene w Br on Markovnikov-correct position

What are the characteristics of this reaction?
Markovnikov

What is the name of this reaction?
Addition of HBr (excess) to alkyne

What is the major product of this reaction?
Addition of 2 Br to Markovnikov position

What are the characteristics of this reaction?
Fully reduces alkyne to alkene

What is the name of this reaction?
Hydrogenation of alkyne

What is the major product of this reaction?
Alkyne fully reduced to alkane

What are the characteristics of this reaction?
Cis alkene intermediate

What is the name of this reaction?
Lindlar’s Hydrogenation

What is the major product of this reaction?
Alkyne → Z alkene

What are the characteristics of this reaction?
Syn addition of H2, alkene rather than alkane product, Z alkene

What is the name of this reaction?
Metal ammonia hydrogenation

What is the major product of this reaction?
Alkyne → E alkene

What are the characteristics of this reaction?
Radical reaction, Anti addition of H2, E alkene

What is the name of this reaction?
Acid-catalyzed hydration of alkyne

What is the major product of this reaction?
OH on markovnikov position → Keto-enol tautomerization

What are the characteristics of this reaction?
Carbocation intermediate, alcohol → ketone; internal = ketone, terminal = aldehyde

What is the name of this reaction?
Oxymercuration of alkyne

What is the major product of this reaction?
Alkyne → alcohol → keto-enol tautomerization

What are the characteristics of this reaction?
Ketone → Markovnikov position

What is the name of this reaction?
Hydroboration-oxidation of alkyne

What is the major product of this reaction?
ANTI-markovnikov addition of OH → Keto-enol tautomerization to ketone or aldehyde

What are the characteristics of this reaction?
Anti-markovnikov, keto-enol tautomerization

What is the name of this reaction?
Potassium permanganate (acid)

What is the major product of this reaction?
Cleavage, formation of two carboxylic acids

What are the characteristics of this reaction?
No ketone or aldehyde product, oxidative cleavage, can also use O3/H20

What is the name of this reaction?
Ozonolysis of alkyne

What is the major product of this reaction?
2 carboxylic acids or 1 carboxylic acid & 1 ketone

What are the characteristics of this reaction?
Stepwise, oxidative cleavage

What is the name of this reaction?
Alkylation of alkyne

What is the major product of this reaction?
Kick out alkyl halide, combine carbon chains

What are the characteristics of this reaction?
Retain TB, acetylide anion acts as SN2 nucleophile

What is the name of this reaction?
Halogenation of alkyne

What is the major product of this reaction?
1 eq: anti-addition of halogen across double bond; 2 eq: another anti-addition of halogen across double bond (4 total)

What are the characteristics of this reaction?
Reduction of alkyne to alkane, halogen addition