1/60
Looks like no tags are added yet.
Name | Mastery | Learn | Test | Matching | Spaced | Call with Kai |
|---|
No analytics yet
Send a link to your students to track their progress
What are longitudinal waves?
Waves in which. the direction of vibration of the particles is parallel to the direction in which the wave travels.
e.g. sound waves, primary seismic waves and compression waves on a slinky toy.
What are transverse waves?
Waves in which the direction of vibration is perpendicular to the direction in which the wave travels.
e.g. electromagnetic waves, secondary seismic waves and waves on a string or wire.
When are transverse waves plane-polarised?
If the vibrations stay in one plane only. If the vibrations change from one plane to another, the waves are unpolarised. Longitudinal waves cannot be polarised.
What are the uses of polarisation?
Radio waves from a transmitter are polarised. The aerial of a radio receiver needs to be aligned in the same plane as the radio waves to obtain the best reception.
What is displacement?
The displacement of a vibrating particle is its distance and direction from its equilibrium position.
What is amplitude?
The amplitude of a wave is the maximum displacement of a vibrating particle. For a transverse wave, this is the height of a wave crest of the depth of a wave trough from its equilibrium position.
What is the wavelength?
The wavelength of a wave is the least distance between two adjacent vibrating particles with the same displacement and velocity at the same time (e.g. distance between adjacent crests).
What is the cycle of a wave?
One complete cycle of a wave is from maximum displacement to the next maximum displacement (e.g. from one wave peak to the next).
What is the period of a wave?
The period of a wave is the time for one complete wave to pass a fixed point.
What is the frequency of a wave?
The frequency of a wave is the number of cycles of vibration of a particle per second, or the number of complete waves passing a point per second. The unit of frequency is the hertz (Hz)
What is the equation that links frequency and time period?
T = 1/f
What is the equation for wave speed?
c=f𝜆 where 𝜆 is the wavelength of the wave
What is the phase of a vibrating particle?
The phase of a vibrating particle at a certain time is the fraction of a cycle it has completed since the start of the cycle.
What is the phase difference between two particles?
The phase difference between two particles vibrating at the same frequency is the fraction of a cycle between the vibrations of the two particles, measured either in degrees or radians.
What is the equation for phase difference in radians?
(2πd)/𝜆 where d is the distance between two points along the wave.
What is reflection?
Straight waves directed at a certain angle to a hard flat surface reflect off at the same angle.
The angle between the reflected wavefront and the surface is the same as the angle between the incident wavefront and the surface.
What is refraction?
When waves pass across a boundary at which the wave speed changes, the wavelength also changes. If the wavefronts approach at an angle to the boundary, they change direction as well as changing speed. This effect is known as refraction.
What is diffraction?
When waves spread out after passing through a gap or round an obstacle.
The narrower the gap, the more the waves spread out.
The longer the wavelength, the more the waves spread out.
What is the principle of superposition?
When waves meet, they pass through each other. At the point where they meet, they combine for an instant before they move apart. This combining effect is known as superposition.
The principle of superposition states that when two waves meet, the total displacement at a point is equal to the sum of the individual displacements at that point.
Where a crest meets a crest, a supercrest is created.
Where a trough meets another trough, a supertrough is created.
Where a crest meets a trough of the same amplitude, the resultant displacement is zero.
What is a stationary wave and how are they formed??
Stationary waves are formed on a rope if two people send waves continuously along the rope from either end. The two sets of waves are referred to as progressive waves to distinguish them from stationary waves. They combine at fixed points along the rope to form points of no displacement or nodes along the rope. At each node, the two sets of waves are always 180° out of phase, so they cancel each other out.
What is interference?
As waves continuously pass through each other at constant frequency and at a constant phase difference, cancellation and reinforcement occurs at fixed positions.
What are coherent sources of waves?
Coherent sources of waves produce an interference pattern where they overlap, because they vibrate at the same frequency with a constant phase difference. If the phase difference changed at random, the points of cancellation and reinforcement would move about at random, and no interference pattern would be seen.
What is the first harmonic?
The simplest stationary wave pattern on a string is called the first harmonic of the string, sometimes referred to as its fundamental mode of vibration.
It consists of a single loop that has a node at either end, and one antinode.
What is the equation to show the distance between adjacent nodes?
½ 𝜆
What do stationary waves not do?
They do not transfer energy to their surroundings.
What is a node and an antinode?
A point of no displacement on a stationary wave.
Point of maximum displacement on a stationary wave.
What are the properties of frequency, amplitude and phase difference between two particles in a stationary wave?
Frequency - All particles except those at the nodes vibrate at the same frequency.
The amplitude varies from zero at the nodes to a maximum at the antinodes.
Equal to mπ, where m is the number of nodes between the two particles.
What are the properties of frequency, amplitude and phase difference between two particles in a progressive wave?
Frequency - All particles vibrate at the same frequency.
Amplitude - The amplitude is the same for all particles.
Phase difference between two particles - Equal to (2πd)/𝜆, where d = distance apart and 𝜆 is the wavelength.
How is the first harmonic frequency found?
Because the length L of the vibrating section of the string is between adjacent nodes and the distance between adjacent nodes is 1/2𝜆1
The wavelength of the waves that form this pattern, the first harmonic wavelength is 𝜆1 = 2L
Therefore, the first harmonic frequency f = c/𝜆1 = c/(2L)
How is the second harmonic frequency found?
The wavelength of the waves that form this pattern 𝜆2 = L because each loop has a length of half a wavelength.
Therefore, the frequency of the second harmonic vibrations f2 = c/𝜆2 = c/L = 2f1
How is the third harmonic frequency found?
The wavelength of the waves that form this pattern 𝜆3 = 2/3L because each loop has a length of half a wavelength.
Therefore, the frequency of the third harmonic vibrations f3 = c/𝜆3 = 3c/2L = 3f1
What is the pitch of a wave?
The pitch of a note corresponds to frequency. This means that the pitch of the note from a stretched string can be altered by changing the tension of the string or by altering its length.
Raising the tension or shortening the length increases the pitch.
Lowering the tension or increasing the length lowers the pitch.
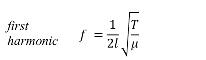
State the equation that links first harmonic frequency f, tension T, length of wire l, and the wires mass per unit length μ.

How does light rays behave when moving into a material of different density?
Towards the normal if it passes into a more dense substance.
Away from the normal if it passes into a less dense substance.
What is the equation that explains the refractive index of a substance?
n = sin i / sin r
(sin i)/(sin r) = c/cs
ns = c/cs
ns = λ/λs

When does partial reflection occur?
When a light ray in air enters glass or any other refractive substance.
What is the refractive index of air approximately?
1
What is Snell’s Law?
n1sinθ1 = n2sinθ2
What is the critical angle?
If the angle of incidence is increased to a certain value known as the critical angle, the light ray refracts along the boundary.
What is total internal reflection?
If the angle of incidence is increased further after hitting the critical angle, the light ray undergoes total internal reflection at the boundary, the same as if the boundary were replaced by a plane mirror.
When can total internal reflection take place?
The incident substance has a larger refractive index than the other substance.
The angle of incidence exceeds the critical angle.
What is the equation for total internal reflection?
sinθc = n2/n1
What are optical fibres used for?
Endoscopes
How must optical fibres be designed in order for them to work?
Total internal reflection takes place at the core cladding boundary. At any point where two fibres are in direct contact, light would cross from one fibre to the other if there were no cladding. Such crossover would mean that signals would not be secure, as they would reach the wrong destination.
The core must be very narrow to prevent modal dispersion. This occurs in a wide core because light travelling along the axis of the core travels a shorter distance per metre of fibre than light that repeatedly undergoes total internal reflection. A pulse of light sent along a wide core would become longer than it ought to be. If it was too long, it would merge with the next pulse.
What is material dispersion?
Pulse dispersion also occurs if white light is used instead of monochromatic light. This material dispersion is because the speed of light travelling through it. The difference in speed would cause white light pulses in optical fibres to become longer.
How is Young’s double slit experiment set up?
The two slits act as coherent sources of waves.
A laser as a source of coherent monochromatic light. (be careful as it could damage the retina if directly shone into the eye)
The double slit arrangement is illuminated by light from the narrow single slit. Alternate bright and dark fringes, referred to as Young’s fringes, can be seen on a white screen placed where the diffracted light from the double slits overlaps. The fringes are evenly spaced and parallel to the double slits.

Why do the fringes occur in Young’s double slit experiment?
Due to interference of light:
Where a bright fringe is formed, the light from one slit reinforces the light from the other slit. The light waves from each slit arrive in phase with each other.
Where a dark fringe is formed, the light from one slit cancels the light from the other slit. The light waves from the two slits arrive 180° out of phase.
What is the equation linking fringe separations, wavelength, slit separation and the distance between the slits and the screen?
ws = λD

When do the fringes become more widely spaced in Young’s double slit experiment?
The distance D from the slits to the screen is increased.
The wavelength λ of the light used is increased
The slit spacing, s, is reduced. Note that the slit spacing is the distance between the centres of the slits.
What is the theory behind the double slit equation?
Consider the two slits S1 and S2 shown in figure 5. At a point P on the screen where the fringes are observed, light emitted from S1 arrives later than light from S2 emitted at the same time. This is because the distance S1P is greater than the distance S2P. The difference between distances S1P and S2P is referred to as the path difference.
For reinforcement at P, the path difference S1P-S2P = mλ, where m is a positive integer including 0.
For cancellation at P, the path difference S1P - S2P = (m+0.5)λ, where m is a positive integer including 0

What is coherence?
They emit light waves of the same frequency with a constant phase difference.
Describe and explain white light fringes.
The blue light fringes are closer together than the red light fringes. However, the central fringe of each pattern is in the same position on the screen. The fringe pattern produced by white light is shown in figure 4. Each component colour of white light produces its own fringe pattern, and each pattern is centred on the screen at the same position.
The central fringe is white because every colour contributes at the centre of the pattern.
The inner fringes are tinged with blue on the inner side and red on the outer side. This is because the red fringes are more spaced out than the blue fringes and the two fringe patterns do not overlap exactly.
The outer fringes merge into an indistinct background of white light becoming fainter with increasing distance from the centre. This is because, where the fringes merge different colours reinforce and therefore overlap.

What changes cause diffracted waves to spread out more?
The gap is made narrower
The wavelength is made larger
What does the diffraction pattern of the diffraction of light by a single slit look like?
The central fringe is twice as wide as each of the outer fringes (measured from minimum to minimum intensity)
The peak intensity of each fringe decreases with distance from the centre.
Each of the outer fringes is the same width.
The outer fringes are much less intense than the central fringe.
Equation linking width of the central fringe observed on a screen at distance D from the slit.
W = λ/ (the width of the single slit a) x 2D
What is a diffraction grating?
A diffraction grating consists of a plate with many closely spaced parallel slits ruled on it. When a parallel beam of monochromatic light is directed normally at a diffraction grating, light is transmitted by the grating in certain directions only. This is because:
The light passing through each slit is diffracted
The diffracted light waves from adjacent slits reinforce each other in certain directions only, including the incident light direction, and cancel out in all other directions.
The central beam, referred to as the zero order beam, is in the same direction as the incident beam. The other transmitted beams are numbered outwards from the zero order beam. The angle of diffraction between each transmitted beam and the central beam increases if:
light of a longer wavelength is used.
a grating with closer slits is used.

What is the diffraction grating equation?
d sinθ = nλ
The number of slits per metre on the grating, N = 1/d, where d is the grating spacing.
For a given order and wavelength, the smaller the value of d, the greater the angle of diffraction. The large the number of slits per metre, the bigger the angle of diffraction.
Fractions of a degree are usually expressed either as a decimal or minutes where 1° = 60’.
To find the maximum number of orders produced, substitute θ = 90°, in the grating equation and calculate n using n = n/λ
The maximum number of orders is given by the value of d/λ rounded down to the nearest whole number.

What are the different types of spectra?
Continuous spectra
Line emission spectra
Line absorption spectra
What is continuous spectra?
A range of colours of light smoothed together. The most intense part of the spectrum depends on the temperature of the light source. The hotter the light source, the shorter the wavelength of the brightest part of the spectrum.
What is line emission spectra?
A glowing gas in a vapour lamp or a discharge tube emits light at specific wavelengths so its spectrum consists of narrow vertical lines of different colours. The wavelength of the lines are characteristic of the chemical element that produced the light.
What is line absorption spectra?
A line absorption spectrum is a continuous spectrum with narrow dark lines at certain wavelengths. The pattern of dark lines is due to the elements in the substance. These elements absorb light of the same wavelengths they can emit at so the transmitted light is missing these wavelengths.