Biologie-structuurformules

0.0(0)
studied byStudied by 2 people
0.0(0)
full-widthCall Kai
learnLearn
examPractice Test
spaced repetitionSpaced Repetition
heart puzzleMatch
flashcardsFlashcards
GameKnowt Play
Card Sorting

1/10

encourage image

There's no tags or description

Looks like no tags are added yet.

Study Analytics
Name
Mastery
Learn
Test
Matching
Spaced

No study sessions yet.

11 Terms

1
New cards

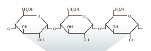
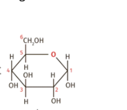
Glucose

2
New cards

fructose

3
New cards

sucrose

4
New cards

glycogeen

5
New cards

zetmeel

6
New cards

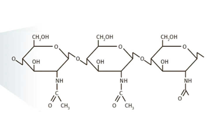
chitine

7
New cards

lactose

8
New cards

triglyceriden

9
New cards

fosfolipiden

10
New cards

cholesterol

11
New cards
<p></p>

proteïnen/aminozuur

Explore top flashcards

100 fautes (1-50)
Updated 713d ago
flashcards Flashcards (161)
English Vocab
Updated 826d ago
flashcards Flashcards (40)
Parents
Updated 424d ago
flashcards Flashcards (28)
lung cancer
Updated 368d ago
flashcards Flashcards (61)
AP Bio - Genetics
Updated 289d ago
flashcards Flashcards (74)
100 fautes (1-50)
Updated 713d ago
flashcards Flashcards (161)
English Vocab
Updated 826d ago
flashcards Flashcards (40)
Parents
Updated 424d ago
flashcards Flashcards (28)
lung cancer
Updated 368d ago
flashcards Flashcards (61)
AP Bio - Genetics
Updated 289d ago
flashcards Flashcards (74)