Van der Waals

0.0(0)
studied byStudied by 1 person
0.0(0)
full-widthCall with Kai
learnLearn
examPractice Test
spaced repetitionSpaced Repetition
heart puzzleMatch
flashcardsFlashcards
GameKnowt Play
Card Sorting

1/3

encourage image

There's no tags or description

Looks like no tags are added yet.

Study Analytics
Name
Mastery
Learn
Test
Matching
Spaced
Call with Kai

No study sessions yet.

4 Terms

1
New cards

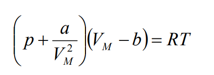
Van der Waals equation

knowt flashcard image
2
New cards

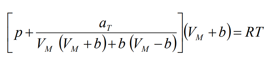
Redlich Kwong equation

knowt flashcard image
3
New cards

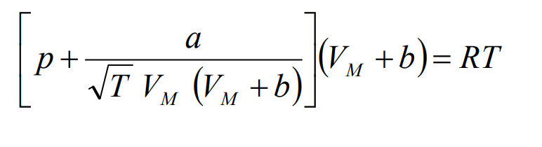
Peng-Robinson

knowt flashcard image
4
New cards

fill

fill