Cofactors

0.0(0)
studied byStudied by 0 people
0.0(0)
full-widthCall Kai
learnLearn
examPractice Test
spaced repetitionSpaced Repetition
heart puzzleMatch
flashcardsFlashcards
GameKnowt Play
Card Sorting

1/5

encourage image

There's no tags or description

Looks like no tags are added yet.

Study Analytics
Name
Mastery
Learn
Test
Matching
Spaced

No study sessions yet.

6 Terms

1
New cards

Flavin

knowt flashcard image
2
New cards

NAD+

knowt flashcard image
3
New cards

Thiamine pyrophosphate

knowt flashcard image
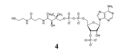
4
New cards

CoA

knowt flashcard image
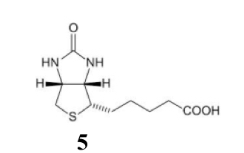
5
New cards

Biotin

knowt flashcard image
6
New cards

PLP

knowt flashcard image