1/55
Looks like no tags are added yet.
Name | Mastery | Learn | Test | Matching | Spaced | Call with Kai |
|---|
No analytics yet
Send a link to your students to track their progress
Antiderivative
We say the function F is an antiderivative of the function f if F'(x)=f(x)
Indefinite integral
The collection of all antiderivatives of f(x) is the indefinite integral

Riemann Sums
Approximation of area under curve using rectangles.
1. Break the interval [a,b] into n subintervals, and draw a rectangle in each subinterval.
2. Summing the areas of the rectangles will approximate the area under the curve.
![<p>Approximation of area under curve using rectangles.</p><p>1. Break the interval [a,b] into n subintervals, and draw a rectangle in each subinterval.</p><p>2. Summing the areas of the rectangles will approximate the area under the curve.</p>](https://knowt-user-attachments.s3.amazonaws.com/2e4cde99-5f53-4b8c-9be3-eff0ff1fd7e7.png)
Riemann Sum Rectangle Width Formula
Δx = (b - a)/n
Where b is the rightmost limit in interval [a,b] and a is the leftmost limit, and n is the number of subintervals.
![<p>Δx = (b - a)/n</p><p>Where b is the rightmost limit in interval [a,b] and a is the leftmost limit, and n is the number of subintervals.</p>](https://knowt-user-attachments.s3.amazonaws.com/8aee4151-9058-4336-82d5-c014cf0206f2.jpg)
Sigma Notation
A form of notation using the symbol Sigma, to express a series.
Σ (Sigma symbol): Represents the sum of terms. Pronounced "sigma."
Index of summation (e.g., i): The variable used to count the terms in the sum. It changes values stepwise.
Lower limit (e.g., i=1): The starting value of the index, where summation begins.
Upper limit (e.g., n): The ending value of the index, where summation stops.
General term (expression next to Σ): The formula that describes each term in the sum depending on the index.

Upper Estimate Riemann
use rectangles that over-approximate the area
Let Mi = max{f(x)} on [xi-1, xi]
Then: Uf = nΣi=1 MiΔx
Lower Estimate Riemann
use rectangles that under-approximate the area
Let mi = min{f(x)} on [xi-1, xi]
Then: Lf = nΣi=1 miΔx
Midpoint Estimate Riemann
On the subinterval [xi-1, xi], the midpoint is (x_i-1 + x_i)/2
And the midpoint sum is:
Uf = nΣi=1 (x_i-1 + x_i)/2Δx
Average Value
AV = Area/b-a
Definite Integral
We define the definite integral to be the limit of the Riemann Sum

Summation Formulas

Odd and Even Integrals
If f is an odd function, integral between -a and a is 0
if f is an even function, integral between -a and a is 2 times the area
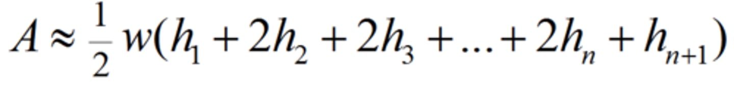
Trapezoidal Rule
Integral (a to b) = ((b-a)/2n)(f(x)+2f(x)+2f(x)+f(x))

Simpson's Rule
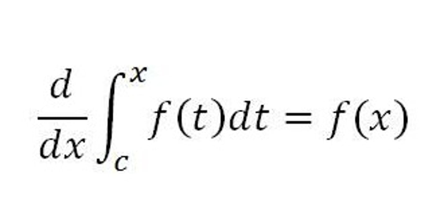
Second Fundamental Theorem of Calculus
d/dx ∫ (from a to g(x)) f(t)dt= f(g(x))*g'(x)

Fundamental Theorem of Calculus
∫ f(x) dx on interval a to b = F(b) - F(a)
Extension of Second Fundamental Theorem of Calculus
d/dx (b(x) ∫ a(x) f(t) dt) = f(b(x))b'(x) - f(a(x))a'(x)
Mean Value Theorem

x^n antiderivative
x^n+1/n+1
sin(ax) antiderivative
-(1/a)cosx
cos(x) antiderivative
(1/a)sinx
csc(ax)cot(ax) antiderivative
-(1/a)csc(ax)
sec(ax)tan(ax) antiderivative
(1/a)sec(ax)
sec^2(ax) antiderivative
(1/a)tan(ax)
csc^2(ax) antiderivative
-(1/a)cot(ax)
b^ax antiderivative
1/(alnb)b^ax
1/(1 + (ax)^2) antiderivative
1/a(arctan)(ax)
1/sqrt(1 - (ax)^2)) antiderivative
1/a(arcsin)(ax)
tan(u) antiderivative
ln|sec u|
sec(u) antiderivative
ln|sec u + tan u|
cot(u) antiderivative
ln|sin u|
csc(u) antiderivative
-ln|csc u + cot u|
What is the Power Rule for derivatives?
dx(x^n) = n·x^(n-1)
What is the Constant Rule for derivatives?
dx(c) = 0
What is the Constant Multiple Rule for derivatives?
dx(c·f(x)) = c·f'(x)
What is the Sum Rule for derivatives?
dx(f(x) + g(x)) = f'(x) + g'(x)
What is the Difference Rule for derivatives?
dx(f(x) - g(x)) = f'(x) - g'(x)
What is the Product Rule for derivatives?
dx(f(x)·g(x)) = f'(x)·g(x) + f(x)·g'(x)
What is the Quotient Rule for derivatives?
dx(f(x)/g(x)) = [f'(x)·g(x) - f(x)·g'(x)] / [g(x)]^2
What is the Chain Rule for derivatives?
dx(f(g(x))) = f'(g(x))·g'(x)
What is the derivative of e^x?
dx(e^x) = e^x
What is the derivative of a^x?
dx(a^x) = a^x·ln(a)
What is the derivative of ln(x)?
dx(ln(x)) = 1/x
What is the derivative of log_a(x)?
dx(log_a(x)) = 1 / [x·ln(a)]
What is the derivative of sin(x)?
dx(sin(x)) = cos(x)
What is the derivative of cos(x)?
dx(cos(x)) = -sin(x)
What is the derivative of tan(x)?
dx(tan(x)) = sec^2(x)
What is the derivative of csc(x)?
dx(csc(x)) = -csc(x)·cot(x)
What is the derivative of sec(x)?
dx(sec(x)) = sec(x)·tan(x)
What is the derivative of cot(x)?
dx(cot(x)) = -csc^2(x)
What is the derivative of arcsin(x)?
dx(arcsin(x)) = 1 / sqrt(1 - x^2)
What is the derivative of arccos(x)?
dx(arccos(x)) = -1 / sqrt(1 - x^2)
What is the derivative of arctan(x)?
dx(arctan(x)) = 1 / (1 + x^2)
Integrating by parts
.

Sin/Cos/Tan Values

Trigonometric Identities
Sinθ/Cosθ = Tanθ
Cosθ/Sinθ = Cotθ
Cos²θ + Sin²θ = 1
Sinθ = Cos(90 - θ)
Cosθ = Sin(90 - θ)