1/68
Looks like no tags are added yet.
Name | Mastery | Learn | Test | Matching | Spaced | Call with Kai |
|---|
No analytics yet
Send a link to your students to track their progress

Does flipping a Haworth sugar change its identity?
No. It is still the same sugar.

What is the major storage polysaccharide in plants?
α-amylose and amylopectin
What is the major storage polysaccharide in animals?
Glycogen.
What linkage is found in α-amylose?
α(1→4) glycosidic linkages.
What linkages are found in amylopectin?
α(1→4) linkages with α(1→6) branch points every 24-30 glucose units.
What linkages are found in glycogen?
α(1→4) linkages with α(1→6) branch points every 8-12 glucose units.
Which is more highly branched: amylopectin or glycogen?
Glycogen.

What kind of glycosidic linkage gives starch (amylose) its helical shape?
α(1→4) glycosidic linkages.


In the most stable conformation, what overall shape does an α(1→4)-linked polysaccharide chain adopt?
A curved left-handed helical structure.


Which polysaccharides are associated with the α(1→4) left-handed helix?
Starch (amylose) and glycogen.


How many reducing ends does amylopectin have?
One reducing end.


How many non-reducing ends does amylopectin have?
Many non-reducing ends.


Where are new branches formed in amylopectin or glycogen?
At α(1→6) branch-point residues.


What are the two main glycosidic linkages in amylopectin?
α(1→4) and α(1→6).

What does the branch frequency ratio for amylopectin look like?
24–30 to 1.


What does the branch frequency ratio for glycogen look like?
8–12 to 1.


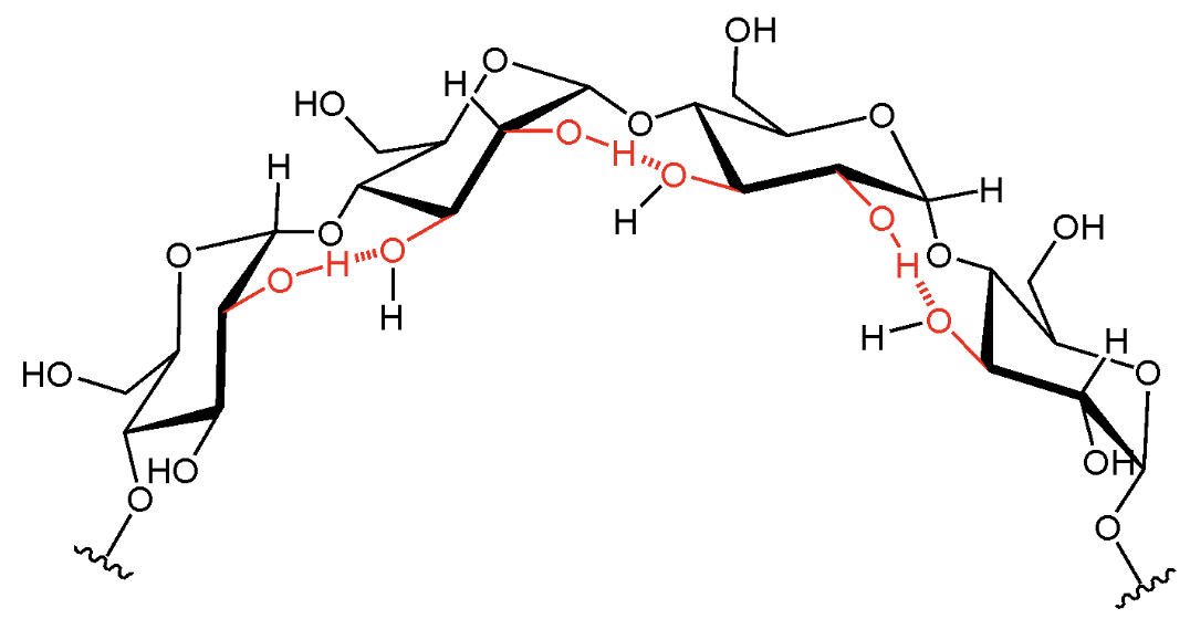
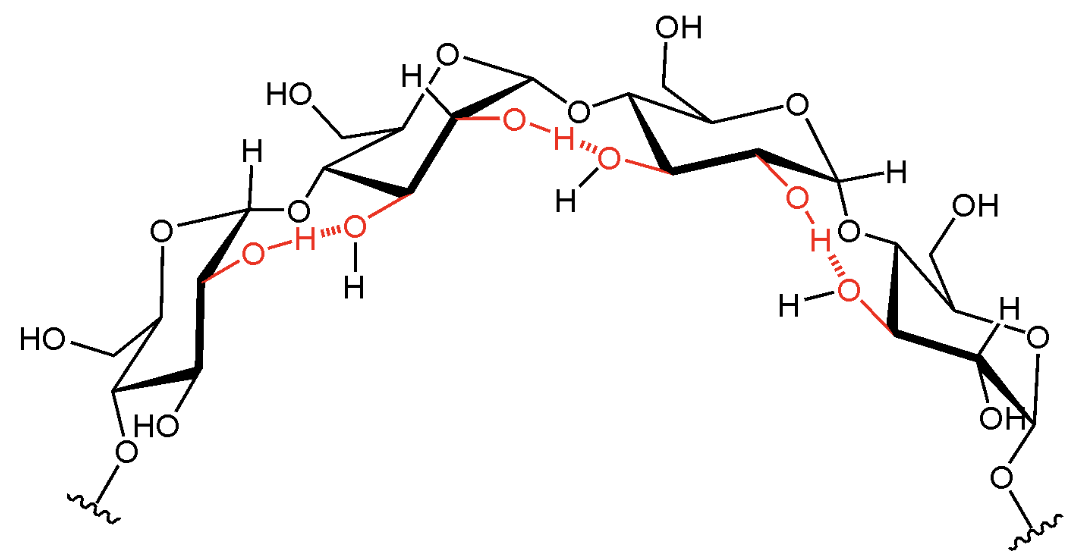
What kind of linkage does cellulose have?
β(1→4) glycosidic linkages.


What happens to alternating glucose residues in cellulose?
They are flipped 180 degrees.


What is the important property of cellulose? And what kinds of those abilities does cellulose show?
HUGE hydrogen-bonding ability: Intra-chain, inter-chain, and inter-sheet hydrogen bonding.


What linkage does chitin have?
β(1→4) linkages.


What monosaccharide derivative is found in chitin?
N-acetyl-glucosamine (GlcNAc)


How does chitin differ from cellulose at C2?
Chitin has -NHCOCH3 at C2 instead of -OH.


What does linkage affect in polysaccharides?
Structure and bulk properties.


What does hydrogen bonding affect?
Rotations around bonds and the bulk properties of the polysaccharide.


What do β linkages allow between adjacent residues?
Hydrogen bonds.


Why can cellulose form strong sheets?
Because cellulose ribbons lie side by side and are held together by extensive interchain hydrogen bonds.


What holds cellulose ribbons together in a sheet?
Extensive interchain hydrogen bonds.


What type of hydrogen bonds are present within a single cellulose chain?
Intrachain hydrogen bonds.


What type of hydrogen bonds are present between neighboring cellulose chains?
Interchain hydrogen bonds.


What can cellulose sheets do to each other?
Hydrogen-bond to each other to form a 3-D lattice.


What larger structure can cellulose sheets form?
A 3-D lattice.

Which kind of linkage tends to support adjacent-residue hydrogen bonding?
β linkages.
What are homopolysaccharides? And what are they used for?
Polysaccharides with 1 repeating sugar unit; energy storage and structural elements.
What are heteropolysaccharides? And what are they used for?
Polysaccharides with more than 1 repeating structural unit and often other molecules; extracellular support in all kingdoms.

What kind of polysaccharide is starch?
A homopolysaccharide.


What are the two major forms of starch?
Amylose and amylopectin.


What is the role of starch?
Energy storage in plants.


What is the approximate size range of amylose?
About 50–5,000 monosaccharide units.


What is the approximate size of amylopectin from the table?
Up to 106 monosaccharide units.


What is the repeating unit in glycogen?
α(1→4)-linked glucose with α(1→6) branches every 8–12 residues.


What is the role of glycogen?
Energy storage in bacteria and animal cells.


What is the approximate size of glycogen from the table?
Up to 50,000 monosaccharide units.


What is the repeating unit in cellulose?
β(1→4)-linked glucose.


What is the role of cellulose?
Structural in plants; gives rigidity and strength to cell walls.


What is the approximate size of cellulose from the table?
Up to 15,000 monosaccharide units.


What is the repeating unit in chitin from the table?
β(1→4)-linked GlcNAc.


What is the role of chitin?
Structural in insects, spiders, and crustaceans; gives rigidity and strength to exoskeletons.


How large is chitin according to the table?
Very large.


What is dextran?
A homopolysaccharide of glucose with α(1→6) linkages and α(1→3) branches.


What is the role of dextran?
Structural in bacteria; extracellular adhesive.

What are two examples of heteropolysaccharides?
Hyaluronan and Peptidoglycan

What is hyaluronan?
A glycosaminoglycan made of repeating extracellular disaccharides.


What type of sugars are commonly found in glycosaminoglycans like hyaluronan?
N-acetyl sugars, often highly acidic sugars such as glucuronic acid (GlcA).


What are the repeating sugar types in hyaluronan?
Glucuronic acid (GlcA) and N-acetyl-glucosamine (GlcNAc).


What enzyme do some pathogenic bacteria express to help invade tissue?
Hyaluronidase.


What does hyaluronidase help bacteria do?
Invade tissue.


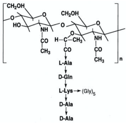
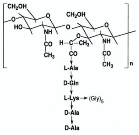
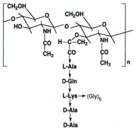
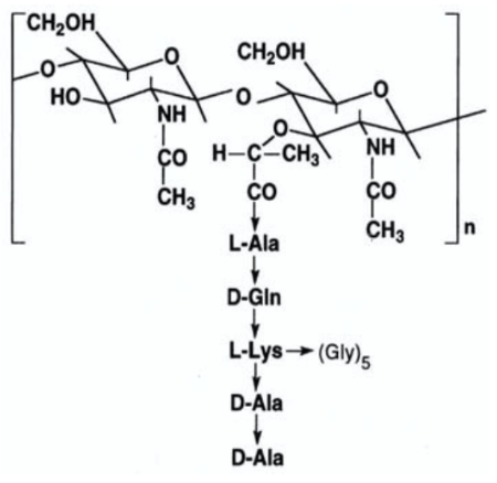
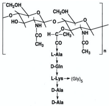
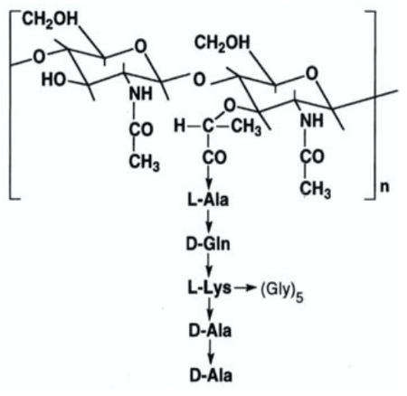
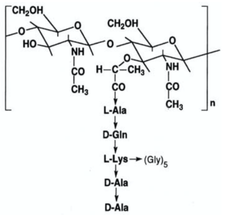
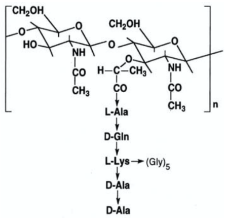
What is peptidoglycan?
A complex network of the bacterial cell wall that provides strength and a barrier.


What repeating sugars are found in peptidoglycan?
N-acetyl-glucosamine (GlcNac) and N-acetyl-muramic acid (Mur2Ac).


What antibiotic targets peptidoglycan-related enzymes?
Penicillin.


How does penicillin kill bacteria?
It inhibits enzymes involved in amino acid crosslinks.

Why are differences in metabolism important medically?
They are areas of attack for drugs such as antibiotics.

Why are polysaccharides better for storage than free glucose?
Free glucose is a strong osmolyte and would create dangerous osmotic pressure.
Polysaccharides lower osmotic stress and can be stored in an insoluble, compartmentalized form.


Where do glycosidases act on polysaccharides?
On the non-reducing ends.


What is another name given for glycosidases?
Glycosyl hydrolases.


Why do branched polysaccharides allow fast enzyme response?
Because branching creates many non-reducing ends for enzymes to act on.


How many non-reducing ends are produced by n branches?
(n+1).


How many reducing ends does a glycogen particle have?
One.


What kind of ends are numerous on glycogen?
Non-reducing ends.


Chitin monomer?
N-acetyl-glucosamine (GlcNAc).
