1/13
Lectures 14-15
Name | Mastery | Learn | Test | Matching | Spaced |
|---|
No study sessions yet.
Parasite-definition
Organism that consumer part of its host without necessarily killing it
Pathogens-definition
Parasites that cause diseases
Parasitoid-definition
Insect whose larvae live in hosts that they consume
Transmission-definition
Movement of parasites from one host to the next
SIR Model diagram

SIR Model equations

SIR assumptions
Susceptibles become infected at rate Bxy
Recovery is permanent and conveys immunity
Infected individuals can recover
SIR threshold behaviour

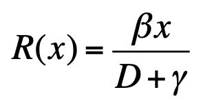
SIR R(x)
R(x) is the number of individuals affected by one infected individual during its lifetime
If R(x)>1, the infection persists
R(x) depends on lifetime of infected individuals and the infection rate

SIR Lifetime of infected individuals

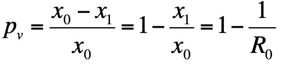
Reproductive number in a population of susceptibles (R0)

Vaccination strategies

Mechanisms to explain cyclic dynamics of disease
Latency
Seasonality
Dispersal limitation
Host-parasitoid dynamics
Fluctuations in interactions explained by:
Parasitoids kill their host
Generations do not overlap