1/37
Looks like no tags are added yet.
Name | Mastery | Learn | Test | Matching | Spaced | Call with Kai |
|---|
No analytics yet
Send a link to your students to track their progress
how much saliva do we produce daily
1-1.5L
saliva is largely compose of
water with small quantities of electrolytes, proteins, antibodies, enzymes oral epithelial cells
saliva is produced in the
salivary glands
saliva currently has no
confirmatory method in use
presumptive tests are available but based primarily on
inorganic anions (thiocyanate and nitrate)
enzymes (alkaline phosphatase or a-amylase)
a-amylase hydrolyzes the
1-4 bonds in starch
a-amylase has two forms,
amy 1 - salivary locus
amy 2 - pancreatic locus
amy-1 is present in
perspiration, breast milk
amy-2 is present in
semen, urine, fecal material, vaginal secretions
antibodies will recognize
both amy-1 and amy-2 forms of amylose
describe amylose
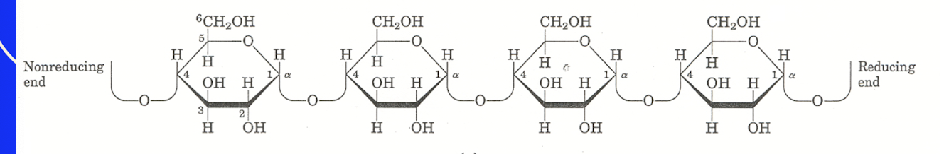
a linear polymer of glucose units held together by the chain a1-4 glycosidic linkages
describe amylopectin
branched polymer, containing a1-5 linkages at branch points
what are the two types of glucose polymers
amylose and amylopectin
amylose

amylopectin

a-amylase is a debranching enzyme and
hydrolyzes b1-6 linkages at branch points
amylose formes helices with
6 glucose residues per turn
in the radial diffusion assay, no color means
a positive result
how do we differentiate between AMY1 and AMY2
salivary amy1 is inhibited by wheat lectin
pancreatic amy2 is inhibited by kidney bean extract
dye starch substrates is
blue start polymer, phadebas test
for the start polymer test, a positive result is
blue
for the SALIgAE kit, a positive result is
yellow
what test is commercially available
SALIgAE kit
the SALIgAE kit is
simple and sensitive (1:1000)
RSID saliva tests are
commercially available
RSID saliva tests are sensitive and require
as little as 1 mL of saliva
in an RSID test what is in the control zone
immobile anti IgG
urine can be useful in
sexual assaults and assaults involving urination
urine is formed in the
kidneys
the urinary system consist of
kidneys
ureter
bladder
urethra
urine is an
aqueous solution consisting largely of water
organic compounds found within the urinary system are
creatine
creatinine
urea
urinary indican
urochrome
purine/pyrimidines
steriod derivatives
urine can be identified by
odor, gentle heating and odor detection
DMAC is a urine presumptive test that
detects amines (particularly urea)
tamm-horsfall protein (ThP) is the
most abundant protein in urine
vaginal secretions have
no tests available for US labs to identify
menstrual blood has
no tests used
fecal testing can be
macroscopic
microscopic