1/20
Looks like no tags are added yet.
Name | Mastery | Learn | Test | Matching | Spaced | Call with Kai |
|---|
No analytics yet
Send a link to your students to track their progress
énoncé général du premier principe

énoncé général du premier principe pour un système immobile et z ne varie pas trop

travail des forces de pression

diagramme de Clapeyron

enthalpie d’un système

lien avec U et capacité thermique à volume constant

lien avec H et capacité thermique à pression constant

lien de U et H avec les phases condensées

1er loi de joule

2éme loi de joule

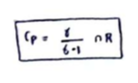
relation de Mayer

le coefficient d’adiabacité

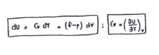
la relation entre cv et α

la relation entre cp et α

dU et dH pour une transformation isotherme

les lois de Laplace

(dp/ dv)isothermique

(dp/ dv)adiabatique

la pente d’isotherme et d’adiabatique

détente de Joule-Gay Lussac

détente de Joule Thomson et Joule Kelvin
