1/17
Looks like no tags are added yet.
Name | Mastery | Learn | Test | Matching | Spaced |
|---|
No study sessions yet.

STARTING MATERIAL: ROH
REAGENTS:base and Na* + Sn2
REACTION: Preparation of Alkoxides
PRODUCTS:R-O-Na

STARTING MATERIAL: aldehyde
REAGENTS:
h2, high pressure, pd/pt/ni
or
NaBh4, MeOH
or
LiAlH4
H2O
REACTION: aldehyde reduction
PRODUCTS: alcohol attached to R group and two hydrogens

STARTING MATERIAL: ketone
REAGENTS:
h2, high pressure, pd/pt/ni
or
NaBh4, MeOH
or
LiAlH4
H2O
REACTION: Ketone Reduction
PRODUCTS: alcohol attached to R group and two hydrogens

STARTING MATERIAL: ester
REAGENTS:
LiAlH4
H2O
REACTION: Reduction of Ester
PRODUCTS: two hydrogens and one hydroxyl group

STARTING MATERIAL: carboxylic acid
REAGENTS: LiAlH2
REACTION: carboxylic acid reduction
PRODUCTS: two hydrogens and one hydroxyl group

STARTING MATERIAL: R-Br
REAGENTS: Mg, Ether
REACTION:Production of Gignard Reagents
PRODUCTS: H-MgBr

STARTING MATERIAL: Ketone/Aldehyde
REAGENTS:
H-MgBr
H2O
REACTION:Grignard Reaction with a Ketone or Aldehyde
PRODUCTS:
Ketone: 3 degree alcohol
Aldehyde: 2 degree alcohol

STARTING MATERIAL: Ester
REAGENTS:
H-MgBr
H2O
REACTION: Grignard Reaction with an Ester
PRODUCTS: Tertiary alcohol

STARTING MATERIAL: R-OH
REAGENTS: TMS-Cl, pyr
REACTION: Silyl Protection of an Alcohol
PRODUCTS: R-O-TMS
STARTING MATERIAL: R-O-TMS
REAGENTS: H3O+ or TBAF
REACTION: De-protection of TMS
PRODUCTS: R-OH

STARTING MATERIAL: Tertiary alcohol
REAGENTS: HX
REACTION: Sn1 of alcohol
PRODUCTS: tertiary halide

STARTING MATERIAL: Primary and secondary alcohols
REAGENTS:
HBr
OR
TsCl, pyr
NaBr
OR
PBr3
REACTION: Sn2 of alcohols
PRODUCTS: inversion of stereochemistry to form halides

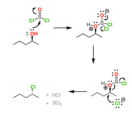
STARTING MATERIAL: Primary and Secondary Alcohols
REAGENTS: SOCl2, Et3N
REACTION: Sn2 Reaction
PRODUCTS: inversion of steriochemistry with Cl replacement

STARTING MATERIAL: tertiary alcohol
REAGENTS: heat, H2SO4
REACTION: E1 of Alcohols
PRODUCTS:

STARTING MATERIAL: tertiary alcohol
REAGENTS:
TsCl, pyr
base
REACTION: E2 of Alcohol
PRODUCTS:

STARTING MATERIAL: primary alcohol
REAGENTS:
PCC
or
DMP
or
DMSO
Et2N
REACTION: alcohol oxidation
PRODUCTS: Aldehydes

STARTING MATERIAL: primary alcohols
REAGENTS: H2CrO4
REACTION: Oxidation of alcohols
PRODUCTS: carboxylic acid

STARTING MATERIAL: Secondary Alcohol
REAGENTS:
H2CrO4
or
PCC
or
DMP
or
DMSO
Et2N
REACTION: Oxidation of secondary alcohols
PRODUCTS: Ketone