1/16
Looks like no tags are added yet.
Name | Mastery | Learn | Test | Matching | Spaced | Call with Kai |
|---|
No analytics yet
Send a link to your students to track their progress
Maximum Height
h = Vy²/2g
Vertical component of velocity
Vy=v*sin(theta)
Equation of motion
s=vi(t)+1/2(a)(t)²
Probability
P=favorable outcome/total outcomes
Formula of an angle between vector and axis

Magnitude of A

Mean of Data
Mean = Sum/Number of Data
Circular arrangement general formula

Expected Value Formula

Force component of ramp parallel to ground and hypotenuse

Binomial probabilities

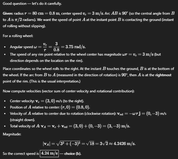
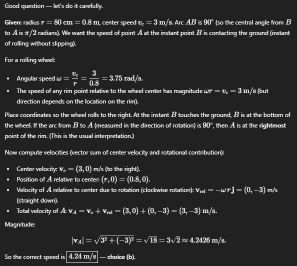
Angular Speed given radius and center speed

Total Velocity

Kinematic Equation

Probability of Total
Probability Total = Probability 1 * Probability 2
Acceleration
(speed 1-speed 2)/2s
Time
sqrt(2h/g)+h/v