1/443
Looks like no tags are added yet.
Name | Mastery | Learn | Test | Matching | Spaced | Call with Kai |
|---|
No analytics yet
Send a link to your students to track their progress
B
What is the ground-state electronic configuration of a carbon atom?

D
What is the ground-state electronic configuration of a fluorine atom?

A
What is the ground-state electronic configuration of a magnesium cation (Mg2+)?

B
What is the ground-state electronic configuration of a chlorine anion (Cl—)?

C
Which of the following statements about valence electrons is true?
A) They are the most tightly held electrons.
B) They do not participate in chemical reactions.
C) They are the outermost electrons.
D) They reveal the period number of a second-row element.
B
Which of the following statements about bonding is true?
A) Covalent bonds result from the transfer of electrons from one element to
another.
B) Ionic bonds result from the transfer of electrons from a metal to a non-metal.
C) Ionic bonds result from the sharing of electrons between two nonmetals.
D) Covalent bonds result from the sharing of electrons between two metals.
D
Which of the following would you expect to have ionic bonds?
A) CO
B) FBr
C) NF3
D) NaCl

B
Which of the following molecules has nonpolar covalent bonds?
A) HCl
B) N2
C) CHCl3
D) NO

D
Which of the following molecules contain both covalent and ionic bonds?
A) I, II
B) I, IV
C) II, III
D) II, IV

C
Arrange the following bonds in decreasing order of ionic character, putting the
most ionic first.
A) I > II > III > IV
B) IV> II > I > III
C) IV> III > II > I
D) IV> II > III > I

B
Which of the following statements correctly describes the typical number of
bonds for carbon, nitrogen, and oxygen in most neutral organic molecules?
A) Carbon forms 4 covalent bonds, nitrogen forms 2 covalent bonds and oxygen
forms 3 covalent bonds.
B) Carbon forms 4 covalent bonds, nitrogen forms 3 covalent bonds and oxygen
forms 2 covalent bonds.
C) Carbon forms 4 covalent bonds, nitrogen forms 5 covalent bonds and oxygen
forms 2 covalent bonds.
D) Carbon forms 4 covalent bonds, nitrogen forms 5 covalent bonds and oxygen
forms 4 covalent bonds.
C
Which is not an acceptable Lewis structure for the anion CH2NCO—?
A) I
B) II
C) III
D) IV

D
Which of the following Lewis structures is correct?
A) I
B) II
C) III
D) IV

C
Which of the following Lewis structures is correct?
A) I, II
B) I, III
C) II, III
D) III, IV

D
Which is the correct Lewis structure for acetic acid (CH3CO2H)?
A) I
B) II
C) III
D) IV

D
In which of the following ions does carbon have a formal charge?
A) I
B) II
C) III
D) None of the above

B
In which of the following ions does carbon have a formal charge?
A) I
B) II
C) III
D) None of the above

C
What is the formal charge of carbon in carbon monoxide (CO) when drawn with a triple
bond?
A) 0
B) -2
C) -1
D) +1
B
Which of the following statements about constitutional isomers is true?
A) Constitutional isomers are different molecules having different molecular formula.
B) Constitutional isomers are different molecules having same molecular formula.
C) Constitutional isomers are same molecules having different molecular formula.
D) Constitutional isomers are same molecules having the same molecular formula.
B
How many constitutional isomers are there for a molecule having the molecular formula
C2H6O?
A) 1
B) 2
C) 3
D) 4
C
How many constitutional isomers are there for a molecule having the molecular C3H8O?
A) 1
B) 2
C) 3
D) 4
B
How many constitutional isomers are there for a molecule having the molecular formula
C3H6?
A) 1
B) 2
C) 3
D) 4
B
How many constitutional isomers are there for a molecule having the molecular formula
C2H4Cl2?
A) 1
B) 2
C) 3
D) 4
D
How many different isomers are there for a compound having the molecular formula
C3H6O?
A) 4
B) 5
C) 6
D) 7
D
Which of the following molecules are constitutional isomers?
A) I, II, IV
B) II, III, IV
C) I, III, IV
D) I, II, III

B
Which of the following compounds has an atom with an unfilled valence shell of electrons?
A) H2O
B) BCl3
C) CH4
D) CO2
B
Which of the following statements about resonance structures is true?
A) Resonance structures have the same placement of electrons but different
arrangement of atoms.
B) Resonance structures have the same placement of atoms but different arrangement
of electrons.
C) Resonance structures have the same placement of atoms and the same arrangement
of electrons.
D) Resonance structures have different placement of atoms and different arrangement
of electrons.
D
Which of the following statements about resonance structures is not true?
A) There is no movement of electrons from one form to another.
B) Resonance structures are not isomers.
C) Resonance structures differ only in the arrangement of electrons.
D) Resonance structures are in equilibrium with each other.
C
Which of the following pair does not represent resonance structures?
A) I
B) II
C) III
D) IV

A
What 2 things will change between two resonance structures?
A) The position of multiple bonds and non-bonded electrons.
B) The position of multiple bonds and single bonds.
C) The placement of atoms and single bonds.
D) The placement of atoms and non-bonded electrons.
D
Which of the following is a resonance structure of the compound below?
A) I
B) II
C) III
D) IV

B
Which of the following resonance structures is the least important contributor to the
resonance hybrid of the formate anion, HCOO—?
A) I
B) II
C) III
D) IV

A
Rank the following in order of decreasing importance as contributing structures to the
resonance hybrid of formaldehyde, H2CO.
A) I > II > III
B) I > III > II
C) II > I > III
D) III > II > I

C
Follow the curved arrows to draw the second resonance structure for the ion below.
A) I
B) II
C) III
D) IV

B
Which is more important in each pair of contributing resonance structures?
A) II, IV, V
B) II, III, V
C) II, III, VI
D) I, IV, V

B
What is the approximate value of the H-C-H bond angle in methane, CH4?
A) 90°
B) 109.5°
C) 120°
D) 180°
C
What is the approximate C-C-C bond angle in propene, CH3CH=CH2?
A) 90°
B) 109.5°
C) 120°
D) 180°
C
What is the approximate H-C-O bond angle in formaldehyde, H2CO?
A) 90°
B) 109.5°
C) 120°
D) 180°
A
Determine the electron geometry around the indicated atom in each species.
A) I = Linear; II = tetrahedral; III = trigonal planar; IV = tetrahedral
B) I = Linear; II = tetrahedral; III = trigonal planar; IV = linear
C) I = Trigonal planar; II = linear; III = tetrahedral; IV = trigonal planar
D) I = Tetrahedral; II = trigonal planar; III = linear; IV = tetrahedral

D
What is the approximate bond angle for the C-C-N bond in acetonitrile, CH3CN?
A) 90°
B) 109.5°
C) 120°
D) 180°
B
Which of the following is the appropriate conversion of the condensed structure,
CH3COCH3, to a Lewis structure?
A) I
B) II
C) III
D) IV

B
Which of the following is the appropriate conversion of (CH3)2CHCH2CHClCH3 to a
skeletal structure?
A) I B) II C) III D) IV

D
Which of the following is the appropriate conversion of (CH3)4C to a skeletal structure?
A) I
B) II
C) III
D) IV

A
What is the condensed formula of the compound below?
A) I
B) II
C) III
D) IV

D
Which of the following is the appropriate conversion of (CH3)2CHOCH2CH2CH2OH to a
skeletal structure?
A) I B) II C) III D) IV

A
Convert the following skeletal structure to a condensed structure.
A) I
B) II
C) III
D) IV

B
Avobenzone is an active ingredient in some common sunscreens. Which of the
following is the correct molecular formula for avobenzone?
A) C22O22O3
B) C20H22O3
C) C21H23O3
D) C20H24O3

B
48. In which structure is the hybridization incorrect?
A) I
B) II
C) III
D) IV

D
What is the hybridization for each of the indicated atoms in the following compound?
A) I = sp2; II = sp2; III = sp2.
B) I = sp2; II = sp3; III = sp3.
C) I = sp; II = sp2; III = sp3.
D) I = sp2; II = sp2; III = sp3.

B
What is the hybridization of the carbon atom in the methyl cation, (CH3
+)?
A) sp3
B) sp2
C) sp
D) p
A
What is the hybridization of the nitrogen atom in the ammonium cation, NH4+?
A) sp3
B) sp2
C) sp
D) p
B
Which atomic orbitals overlap to form the C-H s bonding molecular orbitals of ethane,
CH3CH3?
A) Csp2 + H1s
B) Csp3 + H1s
C) C2p + H1s
D) Csp + H1s
D
Which atomic orbitals overlap to form the C-H s bonding molecular orbitals of
ethylene, H2C=CH2?
A) C2p + H1s
B) Csp + H1s
C) Csp3 + H1s
D) Csp2 + H1s
C
Which atomic orbitals overlap to form the carbon-carbon sigma and pi bonding molecular
orbitals of ethylene, H2C=CH2?
A) Csp3 + Csp3, and C2p + C2p
B) Csp3 + Csp3, and Csp2 + Csp2
C) Csp2 + Csp2, and C2p + C2p
D) Csp2 + Csp2, and Csp2 + Csp2
A
Which atomic orbitals overlap to form the C-H sigma bonding molecular orbitals of
acetylene, C2H2?
A) Csp + H1s
B) C2p +H1s
C) Csp3 + H1s
D) Csp2 + H1s
B
Which atomic orbitals overlap to form the carbon-carbon sigma bonding molecular orbital of
acetylene, C2H2?
A) Csp2 + Csp2
B) Csp + Csp
C) Csp3 + Csp3
D) C2p + C2p
D
When forming molecular orbitals from atomic orbitals, what is the order of increasing
C-H bond strength for the following.
A) II < I < III
B) III < I < II
C) III < II < I
D) I < II < III

B
What is the order of decreasing bond length for a C-C bond comprised of the following
molecular orbitals?
A) I > III > II
B) I > II > III
C) III > II > I
D) II > III > I

C
Which of the following statements about electronegativity and the periodic table is true?
A) Electronegativity decreases across a row of the periodic table.
B) Electronegativity increases down a column of the periodic table.
C) Electronegativity increases across a row of the periodic table.
D) Electronegativity does not change down a column of the periodic table.
B
Rank the following atoms in order of increasing electronegativity, putting the least
electronegative first.
A) I < II < III < IV
B) I < IV < II < III
C) III < II < IV < I
D) I < II < IV < III
D
Rank the following atoms in order of decreasing electronegativity, putting the most
electronegative first.
A) I > IV > II > III
B) II > III > IV > I
C) III > IV > II > I
D) III > II > IV > I
D
Which molecule has the greatest difference in electronegativity (DE) between the two
different elements?
A) CO2
B) H2S
C) NH3
D) H2O
B
Which compound contains the most polar bond?
A) I
B) II
C) III
D) IV

A
Which of the following compounds are non-polar?
A) I, IV
B) I, II
C) II, III
D) II, IV

B
Which of the following molecules has non-polar covalent bonds?
A) CO2
B) N2
C) CCl4
D) HF
B
Which of the following molecules has polar covalent bonds?
A) MgO
B) NH3
C) Cl2
D) NaBr
D
Which of the following covalent bonds has the largest dipole moment?
A) C-H
B) C-C
C) C-O
D) H-F
A
Which of the following molecules has the smallest dipole moment?
A) CO2
B) HCl
C) H2O
D) NH3
D
Which of the following molecules does not have a net dipole moment of zero?
A) CCl4
B) BF3
C) CO2
D) NH3
B
Which of the following molecules has a net dipole moment of zero?
A) I
B) II
C) III
D) IV

D
Which of the following statements about an E1 mechanism is not true?
A) It is a two-step process and has the same first step as an SN1 mechanism.
B) It involves the formation of a carbocation from eliminating a good leaving group.
C) A common competing reaction is rearrangement of a less stable carbocation to a
more stable carbocation.
D) The loss of a proton by the carbocation is a slow step.
B
How many unique beta carbons are found in the alkyl halide below?

B
How many unique beta carbons are found in the alkyl halide below?

A
Classify each alkene in vitamin D3 labeled I, II, III by the number of carbon substituents
bonded to the double bond.

B
Which of the following represents the rate law for an E2 reaction?

D
Which of the following statements about the mechanism of an E2 reaction is true?
A) All bonds are broken and formed in multiple steps.
B) The reaction is not concerted.
C) Entropy favors the reactants of an E2 reaction.
D) Entropy favors the products of an E2 reaction.
C
How many different E2 products can form from the dehydrohalogenation of 2-bromobutane?
A) 1
B) 2
C) 3
D) 4
B
How many different E2 products can form from the dehydrohalogenation of 2-bromobutane?
A) 1
B) 2
C) 3
D) 4
D
What is the major product of the following reaction?
A) I B) II C) III D) IV

B
Which of the following statements about the mechanism of an E2 reaction is not true?
A) It is fastest with tertiary halides.
B) It exhibits first-order kinetics.
C) A better leaving group should make a faster reaction.
D) All bonds are broken and formed in a single step.
A
What is the major elimination product obtained from the following reaction?
A) I B) II C) III D) IV

A
What is the major elimination product obtained from the following reaction?
A) I B) II C) III D) IV

B
What is the major elimination product obtained from the following reaction?
A) I B) II C) III D) IV

A
What is the major elimination product obtained from the following reaction?
A) I B) II C) III D) IV

D
Which of the following is the most reactive substrate in an E2 reaction?
A) I B) II C) III D) IV

A
Which of the following is the least reactive substrate in an E2 reaction?
A) I B) II C) III D) IV

D
Which of the following statements about an E1 mechanism is not true?
A) The reaction is fastest with tertiary alkyl halides.
B) A better leaving group makes the reaction rate increase.
C) The reaction follows first-order kinetics.
D) Stronger bases favor the E1 reaction.
A
Which of the following statements about an E1 mechanism is true?
A) The identity of the leaving group affects the rate of reaction.
B) The reaction follows second-order kinetics.
C) The reaction is slowest with tertiary substrates.
D) Polar aprotic solvents favor the E1 mechanism.
B
Which of the following is the most reactive substrate in an E1 reaction?
A) I B) II C) III D) IV

D
Which of the following is the major elimination product of the following reaction?
A) I B) II C) III D) IV

D
Which of the following alkyl halides would afford the indicated product upon reaction
with sodium methoxide?
A) I B) II C) III D) IV

B
Which of the following is the major E2 product formed from the following alkyl halide?
A) I B) II C) III D) IV

D
Which of the labeled protons in the compound below is most readily abstracted under
E2 conditions?
A) Ha B) Hb C) Hc D) Hd

D
Which of the following alkyl halides will afford the product below as the major product
in an E2 reaction?
A) I B) II C) III D) IV

D
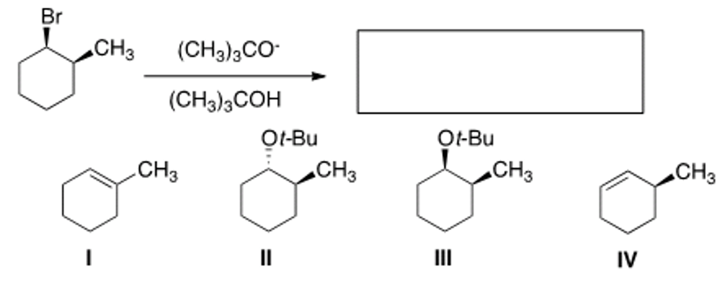
What is the product of the following reaction?
A) I B) II C) III D) IV

B
What is the product of the following reaction?
A) I B) II C) III D) IV

D
What is the product of the following reaction?
A) I B) II C) III D) IV

D
What is the product of the following reaction?
A) Only I
B) Only II
C) Only III
D) II and III

D
Which of the following is most likely to react as a base rather than a nucleophile?
A) I
B) II
C) III
D) IV

B
Which of the following is most likely to react as a nucleophile rather than a base?
A) I
B) II
C) III
D) IV
