1/23
Looks like no tags are added yet.
Name | Mastery | Learn | Test | Matching | Spaced |
|---|
No study sessions yet.
What result does zz̄ give?
Re(z)² + Im(z)²
What is the complex conjugate geometrically
Reflection in the real axis (horizontally)
What is the modulus of a complex number?
|z| = square root (zz̄)/
What is wrong with saying z < n
Can’t compare complex numbers like this unless it’s real
What is the triangle inequality?

What is the reverse triangle inequality?

How would you prove the triangle inequality
If z = x + iy, how would you define x and y in terms of the modulus and argument? (Think of diagram)
X = |z| cos (arg( z))
Y = |z| sin (arg( z))
What is arg (0)?
What is arg (z̄)
Doesn’t exist
-arg(z)
What is polar form
Z = r (cosx + isinx)
How is the principle argument denoted
Arg z
(arg(z) is general argument)
What is Eulers formula?

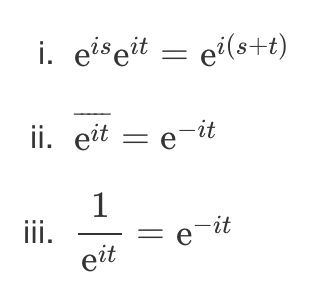
What are the properties of the exponential of an imaginary number?


Prove:

What is the exponential form of an imaginary number?

Using the exponential formula, what is a quick way to multiply AND divide complex numbers
Multiply the moduli, sum the arguments
Divide the moduli, subtract the arguments
Why is it generally not true that Arg(z) + Arg(w) = Arg(zw)?
As principle Argument is strictly in range -pi, pi
How would you show that e^ix differentiates to ie^ix?

What is Eulers identity and how is it obtained?
e^i(pi) + 1 = 0
Writing -1 in exponential form and rearrange
What is de Moivres theorem

How would you prove de Moivres theorem

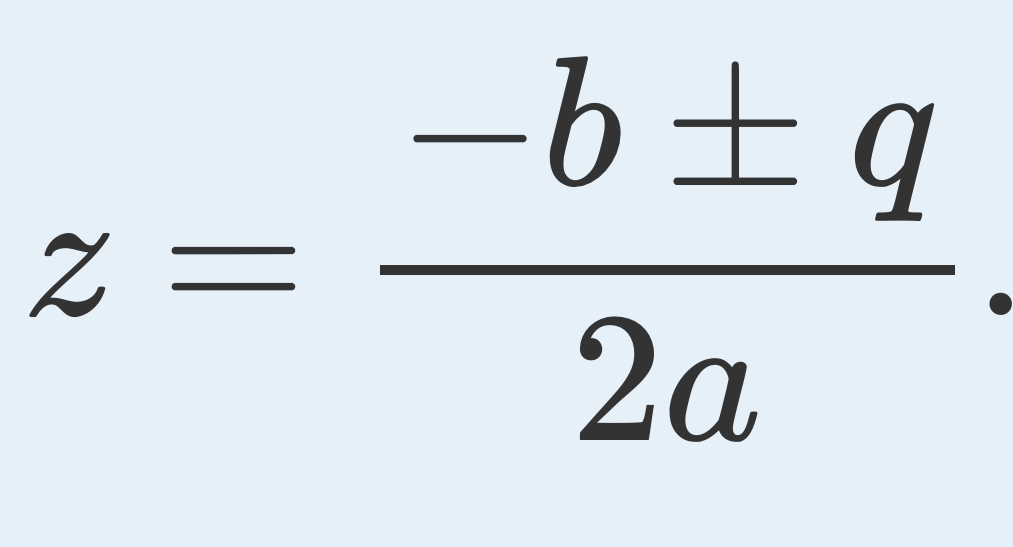
What are the complex solutions of a quadratic equation

How do you obtain the reverse triangle inequality from the triangle inequality?
Express modulus of z with w
Rearrange

How do you convert exponential form to x + iy form?
EULERS FORMULA (re^ix = r( cosx + isinx) )
