1/20
20 Types of alpha amino acids that build proteins.
Name | Mastery | Learn | Test | Matching | Spaced |
|---|
No study sessions yet.
Glycerine (Gly,G)
Category: Hydrophobic

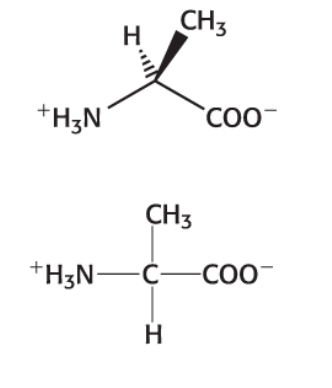
Alanine (Ala,A)
Category: Hydrophobic

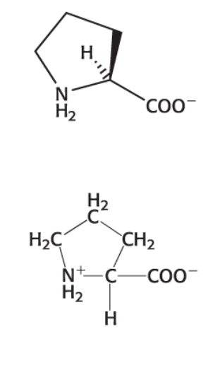
Proline (Pro,P)
Category: Hydrophobic

Valine (Val,V)
Category: Hydrophobic

Leucine (Leu,L)
Category: Hydrophobic

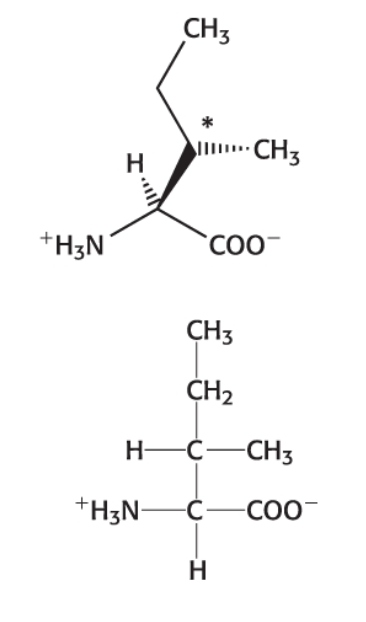
Isoleucine (Ile,I)
Category: Hydrophobic

Methionine
Category: Hydrophobic

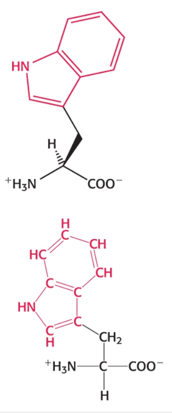
Tryptophan (Trp,W)
Category: Hydrophobic

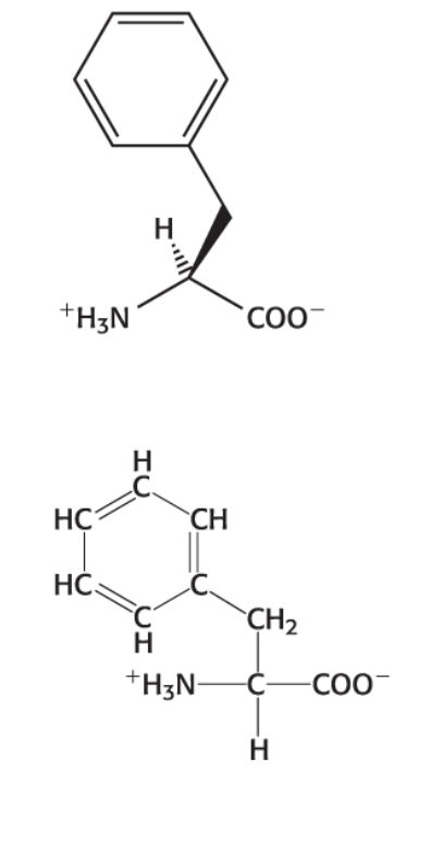
Phenylalanine (Phe,F)
Category: Hydrophobic

Serine (Ser,S)
Category: Polar neutral

Threonine (Thr,T)
Category: Polar neutral

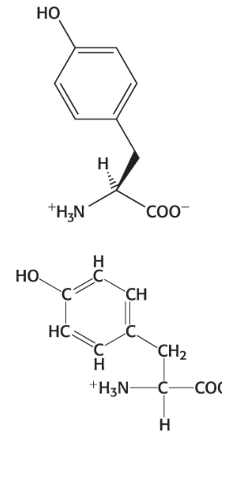
Tyrosine (Tyr,Y)
Category: Polar neutral

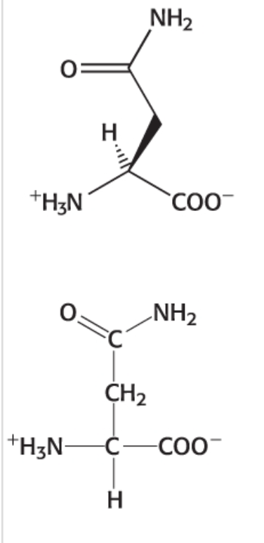
Asparagine (Asn,N)
Category: Polar neutral

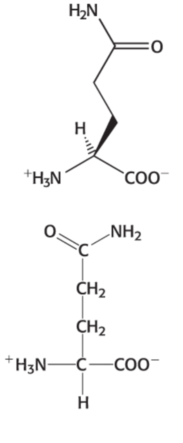
Glutamine (Gln,Q)
Category: Polar neutral

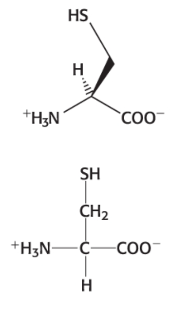
Cysteine (Cys,C)
Category: Polar neutral

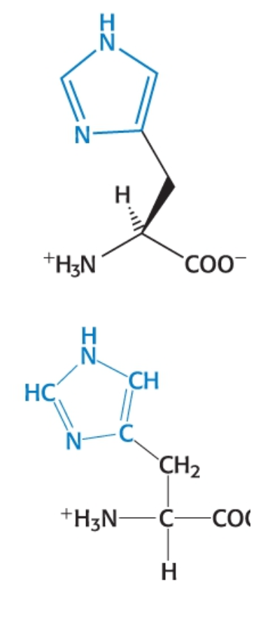
Histidine (His,H)
Category: Polar Neutral

Lysine (Lys,K)
Category: Positively Charged

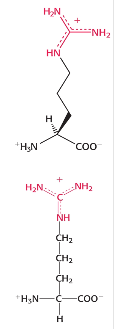
Arginine (Arg,R)
Category: Positively Charged

7 Ionizable AA
Terminal alpha carboxyl group
Aspartic acid
Glutamic acid
Histidine
Terminal alpha group
Cysteine
Tyrosine
Lysine
Arginine
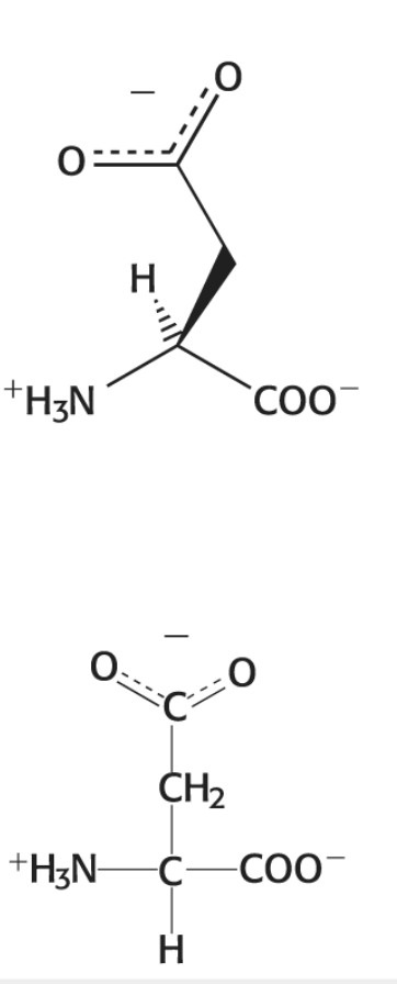
Aspartate (Asp,D)
Category: Negatively Charged

Glutamate (Glu,E)
Category: Negatively Charged
