1/3
Looks like no tags are added yet.
Name | Mastery | Learn | Test | Matching | Spaced | Call with Kai |
|---|
No analytics yet
Send a link to your students to track their progress
Arithmetic Sum identity

Arithmetic Sum identity proof

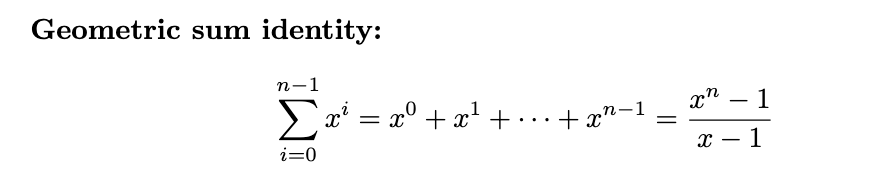
Geometric sum identity

Geometric sum identity proof

