1/37
Looks like no tags are added yet.
Name | Mastery | Learn | Test | Matching | Spaced | Call with Kai |
|---|
No analytics yet
Send a link to your students to track their progress
oksydoreduktazy
przenoszenie elektronów (reakcje utlenienia i redukcji)
Dehydrogenaza
(Oksydoreduktazy)
Katalizuje reakcje utleniania, odczepia atomy wodoru

Oksydaza
(Oksydoreduktazy)
Przenosi elektrony na tlen cząsteczkowy, często prowadząc do powstania H₂O lub H₂O₂ (np. oksydaza ksantynowa).

Reduktaza
(Oksydoreduktazy)
Katalizuje reakcje redukcji, zwykle z udziałem NADPH (np. reduktaza ferredoksyna-NADP+).

Oksygenaza
(Oksydoreduktazy)
Wbudowuje atom(y) tlenu bezpośrednio do substratu

Peroksydaza
(Oksydoreduktazy)
Rozkłada nadtlenki, chroniąc komórkę przed stresem oksydacyjnym.

Oksydoreduktaza (ogólnie)
(Oksydoreduktazy)
Enzymy regulujące przepływ elektronów w metabolizmie energetycznym.

transferazy
przenoszenie grup chemicznych między cząsteczkami
Aminotransferaza
(Transferazy)
Przenosi grupy aminowe; kluczowa w metabolizmie aminokwasów

Glikozylotransferaza
(Transferazy)
Przenosi reszty cukrowe; synteza glikoprotein i glikolipidów.

(Transferazy)
Przenosi grupy acylowe; ważna w metabolizmie lipidów.
Kinaza
(Transferazy)
Przenosi grupy fosforanowe z ATP; podstawowy mechanizm regulacji szlaków metabolicznych.

Fosforylaza
(Transferazy)
Przenosi resztę fosforanową bezpośrednio z nieorganicznego fosforanu (np. fosforylaza glikogenowa).

hydrolazy
rozszczepienie wiązania z udziałem cząsteczki wody
Amylaza
(Hydrolazy)
Hydroliza skrobi/glikogenu do cukrów prostszych.

Lipaza
(Hydrolazy)
Rozkład triglicerydów do kwasów tłuszczowych i glicerolu.

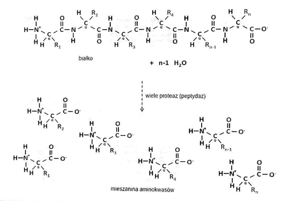
Peptydaza (proteaza)
(Hydrolazy)
Rozkład białek do peptydów i aminokwasów.

Deaminaza
(Hydrolazy)
Usuwanie grup aminowych z aminokwasów lub zasad azotowych.

Nukleaza
(Hydrolazy)
Rozkład kwasów nukleinowych.

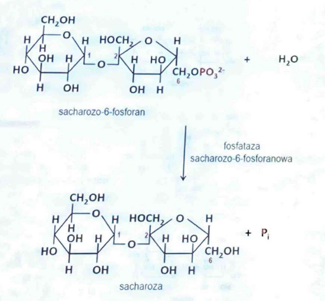
Fosfataza
(Hydrolazy)
Usuwa grupy fosforanowe (defosforylacja).

liazy
rozszczepienie wiązań C–C, C–O, C–N, C–S bez hydrolizy, utleniania lub udziału ATP, czemu towarzyszy wytworzenie wiązania podwójnego lub dodanie grup chemicznych do wiązania podwójnego
Dekarboksylaza
(Liazy)
Usuwa CO₂ z cząsteczek organicznych.

Aldolaza
(Liazy)
Rozszczepia wiązania C–C (np. w glikolizie).

Dehydrataza
(Liazy)
katalizuje reakcję dehydratacji, inaczej odwodnienienia, w której jednym z produktów jest woda
dehydrataza serynowa - “W pierwszej fazie reakcji od związku organicznego odłączają się cząsteczki wody (dehydratacja). Następnie zachodzi reakcja główna, czyli odłączenie grupy aminowej w postaci amoniaku.”

Hydrataza
(Liazy)
Przyłącza wodę do wiązania podwójnego.

Anhydraza węglanowa
(Liazy)
Katalizuje przejście CO₂ ⇄ HCO₃⁻, kluczowa dla równowagi kwasowo-zasadowej.

izomerazy
przenoszenie grup chemicznych w obrębie cząsteczki (wewnątrzcząsteczkowe przekształcenia)
Izomeraza
(Izomerazy)
Przekształca cząsteczki w ich izomery.

Epimeraza
(Izomerazy)
Zmienia konfigurację wokół jednego atomu węgla.

Mutaza
(Izomerazy)
Przenosi grupę funkcyjną w obrębie tej samej cząsteczki

ligazy
tworzenie wiązań C–C, C–O, C–N, C–S połączone z rozpadem ATP
Ligaza
(Ligazy)
Łączy dwie cząsteczki kosztem ATP
Syntetaza
(Ligazy)
Specyficzny typ ligazy, zawsze zużywa ATP.

Karboksylaza
(Ligazy)
Przyłącza CO₂ do substratu (np. karboksylaza acetylo-CoA).

translokazy
transport H⁺, kationów, anionów, aminokwasów, peptydów, białek, cukrów i innych związków przez błony, połączony z utlenieniem lub udziałem ATP (przeniesione z EC 1 i EC 3)
ATP-aza
(Translokazy)
Transport aktywny jonów przez błony (katalizują hydrolizę ATP i wykorzystują energię - pompa sodowo-potasowa)

(Translokazy)
Umożliwia transport substancji przez błony biologiczne.
(Translokazy)
Sprzęgają transport z reakcjami redoks (np. łańcuch oddechowy).