1/10
Looks like no tags are added yet.
Name | Mastery | Learn | Test | Matching | Spaced | Call with Kai |
|---|
No analytics yet
Send a link to your students to track their progress

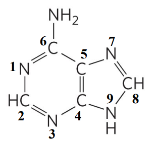
Adenine

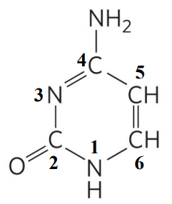
Guanine

Cytosine

Thymine

Uracil

Ribose Sugar Structure (RNA)

Deoxyribose Sugar Structure (DNA)
Adenine
Purine
Guanine
Purine
Cytosine
Pyrimdine
Thymine
Pyrimidine