1/31
Looks like no tags are added yet.
Name | Mastery | Learn | Test | Matching | Spaced | Call with Kai |
|---|
No analytics yet
Send a link to your students to track their progress
alkane

alkene

alkyne

aromatic hydrocarbon

haloalkane

amine

ammonium

aziridine

amide 1

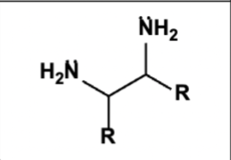
diamine

alcohol

ether

epoxide

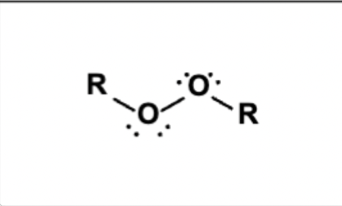
peroxide

alkoxide

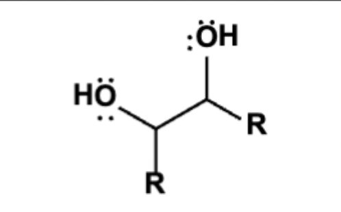
diol

thiol

thioether

disulfide

aldehyde

ketone

imine

nitrile

nitro

carboxylic acid

ester

lactone

anhydride

carboxylate

acyl halide

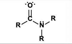
amide 2

lactam
