1/5
Looks like no tags are added yet.
Name | Mastery | Learn | Test | Matching | Spaced | Call with Kai |
|---|
No analytics yet
Send a link to your students to track their progress

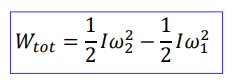
total work done by the torque (formula )

Rotational Analog of Work-KE Theorem formula

Power associated with work done by torque (formula)

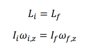
Magnitude of the angular momentum

• Rotational Analog of Linear Momentum / Valid for a rigid body rotating around a SYMMETRY AXIS (formula)

Conservation of Angular Momentum (no external torque)