1/63
Non-Comprehensive flashcards for revision of important formulae and some basic concepts that you'd need for JEE Mains, IAT, and NCERT. Use only Answer with Definition. Question type: Only Flashcards. I may add to this deck in the future to make it more comprehensive of all concepts!
Name | Mastery | Learn | Test | Matching | Spaced | Call with Kai |
|---|
No analytics yet
Send a link to your students to track their progress
What is Magnetic Flux?
It is the total number of Magnetic Field Lines crossing an area.
What is the formula for Magnetic Flux (both scalar and vector forms).

What is the formula for Magnetic Flux through a coil with multiple turns?

Is magnetic Flux scalar or vector?
scalar
What is the dimensional formula of Magnetic Flux?

What is the SI Unit of Magnetic Flux?
Joule per Ampere = weber (Wb)
or Tesla-m2 (as Tesla = Wb/m2)
What is the CGS unit of Magnetic Flux? How is it related to Webers?

What is the formula for instantaneous Induced EMF? (Lenz’s Law)

What is formula for instantaneous Induced EMF when B is constant?

What is formula for instantaneous Induced EMF when A is constant?

What is the formula for average Induced EMF?

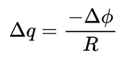
What is the formula for total charge flow in a coil due to flux change?

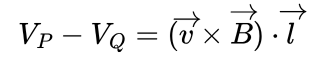
What is formula for motional EMF in a conductor?
where
v = velocity vector of conductor
B = external magnetic field (uniform)
l = length vector of conductor along current flow

Formula for motional EMF is E=vBl.
When two of those vectors are parallel, what is the formula for motional EMF?
E=0.
In a conductor which has motional EMF=vBl, which direction is the positive terminal end in?
v x B (not l)

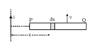
What is the formula for motional EMF across this conductor?
where L is the length of the conductor.

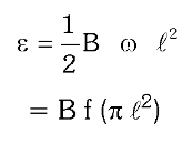
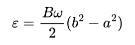
What is the formula for motional EMF due to the rotation of a conducting rod (about one of its ends) in an external uniform magnetic field?

What is the formula for motional EMF due to the rotation of a conducting rod (about a point along its body and NOT at either end) in an external uniform magnetic field?
where a and b are the distances from the pivots to the ends of the rod

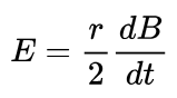
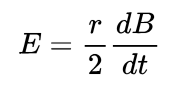
What is the formula for induced electric field along a conducting loop inside uniform but variable magnetic field?
What is the direction of electric field?
Induced Electric field has direction along circumference of loop in the direction of induced current (tangential to circle)

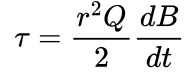
What is the formula for torque of rotation of non-conducting charged loop inside uniform but variable magnetic field?

What is the formula for angular acceleration of rotation of non-conducting charged loop inside uniform but variable magnetic field?


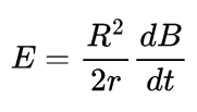
What is the formula for induced electric field inside this cylindrical region at a point r when r<R?


What is the formula for induced electric field outside this cylindrical region at a point r when r>R?

What is the formula for self inductance of a coil? (NOT (NBA/I))

What is the SI unit of self inductance?

What is the dimensional formula of self inductance?

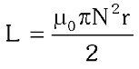
What is the formula for self inductance of a solenoid?

What is the formula for potential difference across inductor?
if i is increasing, put positive sign
if i is decreasing, put negative sign
If i is constant, it’s 0

What is the formula for energy stored in an Inductor?

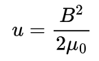
What is the Magnetic Field energy density inside an inductor?

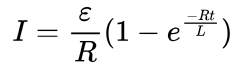
What is the formula for growth of current in an L-R circuit?

What is the formula for time constant of an L-R circuit?

In a growth L-R circuit, what percentage of maximum current is achieved after time t=\tau where \tau is the time constant of the circuit
63%
What is the formula for the maximum current that can be achieved in an L-R circuit?

What is the graph for growth of current in an L-R circuit?

What is the formula for potential difference across inductor in an L-R circuit?

at t=0 in a growth L-R circuit, what is the potential difference across an inductor?
=emf
at t=𝜏 in a growth L-R circuit, what is the potential difference across an inductor?
37% of emf
at t=∞ in a growth L-R circuit, what is the potential difference across an inductor?
0
What is the graph for potential difference across inductor in a growth L-R circuit?

What is the formula for decay of current in a decay L-R circuit?

at t=𝜏 in a decay L-R circuit, what is the current in terms of current at t=0?
I = 37% of I0
at t=∞ in a decay L-R circuit, what is the current?
0
What is the formula for potential difference across inductor in a decay L-R circuit?

at t=0 in a decay L-R circuit, what is the potential difference across an inductor?
I0R
at t=𝜏 in a decay L-R circuit, what is the potential difference across an inductor?
37% of I0R
at t=∞ in a decay L-R circuit, what is the potential difference across an inductor?
0
In a growth L-R circuit at t=0, the inductor behaves as a ______-resistance wire.
(infinite/zero)
infinite
∞
In a growth L-R circuit at t=∞, the inductor behaves as a ______-resistance wire.
(infinite/zero)
zero
Shortcut trick for finding current and potential difference in a growth L-R circuit when there is only one inductor?
remove the battery of the circuit and calculate equivalent resistance about inductor and put 𝜏=L/Requivalent and substitute this in either current or potential difference formula.
According to the Theory of Reciprocity, what is the formula for the flux in coil 1 due to coil 2?
\phi_{12}=M_{12}I_2=MI_2
What is the formula for induced emf due to mutual induction?
\varepsilon_{21}=-M\dfrac{dI_1}{dt}
What is the SI unit of mutual induction?
Henry, same as self-inductance
What is the formula for mutual induction of two long co-axial solenoids?

What is the formula for mutual induction of two plane concentric coils?

What is the formula for coefficient of coupling?
k=\dfrac{M}{\sqrt{L_1L_2}}
What is the range of k? (coefficient of coupling)
0\le k\le 1
If two coils are parallel to each other, what is the coefficient of coupling between them?
1
If two coils are perpendicular to each other, what is the coefficient of coupling between them?
0
What is the formula for L_{eq} in a series combination of inductors? (mutual induction not considered)
L_{eq}=L_1+L_2+L_3
What is the formula for L_{eq} in a series combination of inductors? (mutual induction not considered)
L_{eq}=L_1+L_2+L_3+3M when they favour each other (magnetic fields generated in the same direction)
L_{eq}=L_1+L_2+L_3-3M when they oppose each other (magnetic fields generated in opposite directions)
What is the formula for L_{eq} in a parallel combination of inductors?
\dfrac{1}{L_{eq}}=\dfrac{1}{L_1}+\dfrac{1}{L_3}+\dfrac{1}{L_3}
What is the formula for energy stored in a capacitor?
\dfrac{q²}{2C}
What is the formula for energy stored in an inductor?
\dfrac{LI²}{2}