1/4
Looks like no tags are added yet.
Name | Mastery | Learn | Test | Matching | Spaced | Call with Kai |
|---|
No analytics yet
Send a link to your students to track their progress
When can you use energy vs momentum to solve ballistic pendulum questions
Momentum can be used when gravity is not applied to the object(s) and energy cannot be used during completely inelastic collisions (When the objects stick together and energy is lost due to friction/heat).
Is energy conserved when the earth is included in the system
yes, because the heat energy released from the inelastic collision is contained within earth which is part of the system
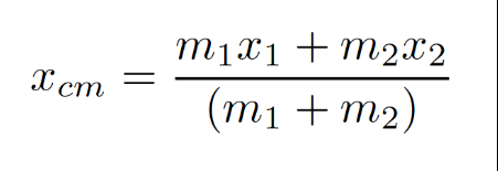
What is the X(cm) formula for centre of mass
You add up all of the individual block lengths (for their centre of mass) and then divide by the total mass

How is the centre of mass affected by being moved
The centre of mass will move at a constant velocity until an external force acts on it

Explain this question and answer
The question is asking about force, which equals impulse (change in momentum) so the impulse of the ball is higher (elastic, so the ball conserves it’s momentum as the door is very heavy) than the impulse of the clay because the clay losses all momentum when it sticks to the door.
