1/13
Looks like no tags are added yet.
Name | Mastery | Learn | Test | Matching | Spaced | Call with Kai |
|---|
No analytics yet
Send a link to your students to track their progress
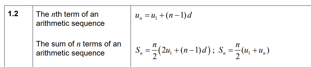
nth term and sum of nth term of arithmetic sequence

nth term and sum of nth term of geometric sequence

The sum of an infinite geometric sequence

Sin, cosine rules and area of triangle

Area and surfacearea of right cone, Sphere

Tan Identity

Pythagorean and Double angle identities

Pythagorean angle identities 2

Compound angle identities

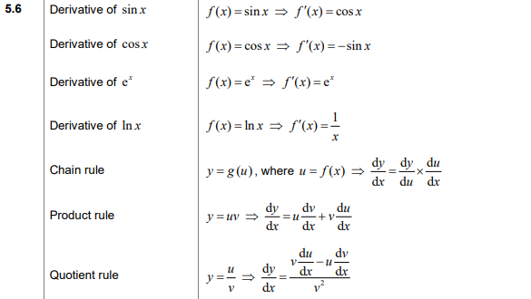
Derivitives of sin,cos,e,ln,prudoct rule, quatient rule

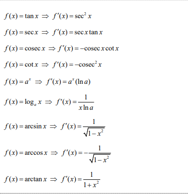
Derivatives of tan, sec,cosec, cot, a^x,logax, arcsine, arccos, arctan

Integrals of 1/x, sin, cos, e

Integral of a
