1/21
Looks like no tags are added yet.
Name | Mastery | Learn | Test | Matching | Spaced | Call with Kai |
|---|
No analytics yet
Send a link to your students to track their progress
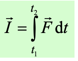
Impulz síly
Závislost síly na čase, mění rychlost

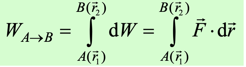
Mechanická práce
Účinek síly po nějaké trajektorii

Okamžitý výkon
Rychlost, s jakou se vykoná mechanická práce

Potencionální energie
Energie, kterou těleso nabývá když ho dáme do nějakého pole, např. gravitačního, Ep = mgh
Kinetická energie
Energie, které těleso nabývá když ho uvedeme do pohybu

Celková energie
Součet potencionální a kinetické energie, Ec = Ek + Ep
Moment síly
Účinek síly na rotaci tělesa

Moment hybnosti
popisuje rotační pohyb kolem osy

Moment setrvačnosti
Popisuje rozdělení hmoty podél osy otáčení

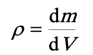
Objemová hustota
množství hmoty na jednotkový objem látky

Objemová hustota náboje
množství jednotkového náboje na objem látky

Plošná hustota náboje
množství náboje na jednotkovou plochu látky

Lineární hustota náboje
množství náboje na jednotkovou délku

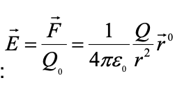
Intenzita el. pole
síla el. pole

Tok vektoru el. pole plochou
množství el. pole procházejícího plochou

Tok vektoru el. pole uzavřenu plochou
množství el. pole procházejícího uzavřenou plochou

El. proud
Množství náboje procházejícího vodičem za jednotkový čas

Hustota proudu
množství el. proudu procházejícího jednotkovou plochou, stejný směr jako intenzita el. pole

Indukce mag. pole
popisuje intenzitu a směr mag. pole

Indukce el. pole
změna el. potencionálu v prostoru

Intenzita mag. pole
síla mag. pole

Cirkulace vektoru mag. indukce podél uzavřené křivky c:
