1/8
Looks like no tags are added yet.
Name | Mastery | Learn | Test | Matching | Spaced | Call with Kai |
|---|
No study sessions yet.







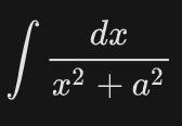
Trig Sub 1


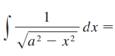
Trig Sub 2


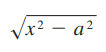
Trig Sub 3



\frac{d}{du}\operatorname{arcsec}\left(u\right)
\frac{1}{\left|u\right|\sqrt{u^2-1}} , |u| > 1
\frac{d}{du}\operatorname{\operatorname{arccsc}}\left(u\right)
-\frac{1}{\left|u\right|\sqrt{u^2-1}} , |u| > 1