1/24
Looks like no tags are added yet.
Name | Mastery | Learn | Test | Matching | Spaced | Call with Kai |
|---|
No analytics yet
Send a link to your students to track their progress
Genral RRT equation

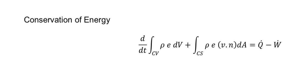
RRT energy equation

What does enthalpy equal
U + pv

Steady flow energy equation

Critical distance formula

Wats the drag coefficient equation
Cd= Xr/square root of reynolds number
Drag force formula

Whats the reynolds number for the transition to laminar to turbulent
5×10^5
Surface area of a cylinder

Surface Area of a circle

Area of the annulus

Hydraulic diameter

Overall temperature

Fourriers law

Newtons law of cooling

Nusselt number

Reynolds number

Prandlt number

Overall heat transfer equation for mix mode heat transfer

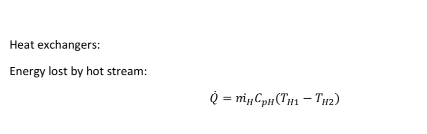
Heat transfer lost by hot stream

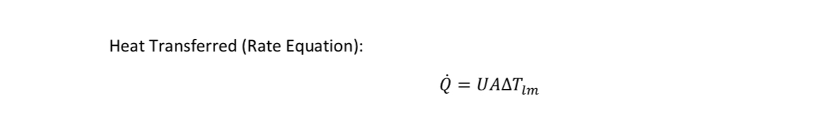
Heat transfer rate equation

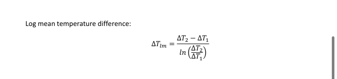
Log mean temperature change

Transient heat transfer

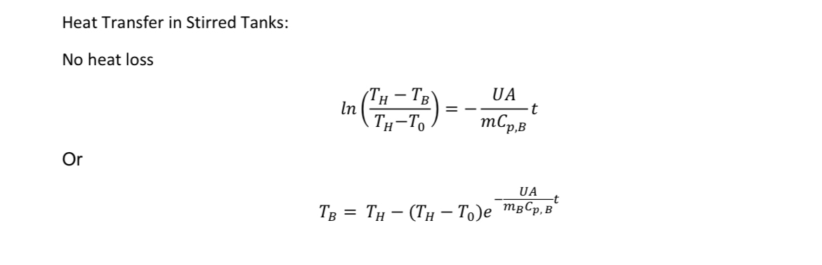
Heat transfer in tanks

Heat transfer with loss to the environment
