Electron Carriers

0.0(0)
studied byStudied by 0 people
full-widthCall with Kai
GameKnowt Play
learnLearn
examPractice Test
spaced repetitionSpaced Repetition
heart puzzleMatch
flashcardsFlashcards
Card Sorting

1/3

flashcard set

Earn XP

Description and Tags

Understand the importance of electron carriers in producing ATP

Study Analytics
Name
Mastery
Learn
Test
Matching
Spaced

No study sessions yet.

4 Terms

1
New cards
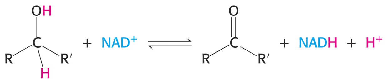
<p>(Nicotinamide Adenine Dinucleotide) and (Nicotinamide Adenine Dinucleotide Phosphate)</p>

(Nicotinamide Adenine Dinucleotide) and (Nicotinamide Adenine Dinucleotide Phosphate)

Reactive Site: Nicotinamide

If R=H; NAD+

If R=Pi, NADP+

2
New cards

NADH: Catabolism

NADPH: Anabolism

3
New cards

Flavin Mononucleotide and FAD

FAD contains FMN and AMP

Ribityl is the reactive site found in FAD, which acts as an electron carrier in various metabolic processes, and is derived from Flavin Mononucleotide (FMN) by the addition of AMP.

4
New cards
in depth

In depth

basic reaction

Basic Reaction