1/9
Looks like no tags are added yet.
Name | Mastery | Learn | Test | Matching | Spaced |
|---|
No study sessions yet.
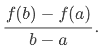
What is the formula to calculate the average rate of change of a function y = f(x) over an interval [a, b]?

What is the discriminant of a quadratic equation?
The discriminant is calculated from the b² - 4ac portion of the -b quadratic formula.
What can the discriminant of a quadratic equation tell us?
If the discriminant > 0 then there are two real solutions to the quadratic equation, if the discriminant = 0 then there is one real solution to the quadratic equation, and if the discriminant < 0 then there are no real solutions to the quadratic equation.
What is the differences of two cubes formula?
Answer:

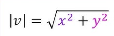
What is the magnitude of a number and how do you find it (include the formula)?
To find the magnitude of a number, you find its absolute value, which is its distance from zero on the number line, always resulting in a non-negative number. The formula is:

What is the term for multiplying a function by a constant? and what does this do to the function’s graph?
Transforming a function in this way is called scaling. When we multiply a function by a constant, the graph either stretches out or compresses.
What is the completing the square formula if y = x² + bx + c?

What is the differences of two squares formula?

How do you find the vertical asymptotes of a function?
To find the vertical asymptotes of a rational function, we factor the numerator and denominator and cancel any common factors. Then, we set the denominator equal to zero and solve for x.
What are the steps to find the inverse of a function f(x)?
