1/21
Jonklaas-Biochem
Name | Mastery | Learn | Test | Matching | Spaced | Call with Kai |
|---|
No analytics yet
Send a link to your students to track their progress
Name: Lauric Acid
Delta Nomenclature: C12:0
Olmega Nomenclature: C12:0
Acyl group name: Lauryl

Name: Myristic Acid
Delta Nomenclature: C14:0
Olmega Nomenclature: C14:0
Acyl group name: myristyl

Name: Palmitic Acid
Delta Nomenclature: C16:0
Olmega Nomenclature: C16:0
Acyl group name: Palmitoyl

Name: Stearic Acid
Delta Nomenclature: C18:0
Olmega Nomenclature: C18:0
Acyl group name: Stearoyl

Name: Palmitoleic Acid
Delta Nomenclature: C16:0 Delta 9
Olmega Nomenclature: C12:0 Olmega 7
Acyl group name: Palmitoleoyl

Name:Oleic Acid
Delta Nomenclature: C18:0 Delta 9
Olmega Nomenclature: C18:0: Olmega 9
Acyl group name: Oleoyl

Name: Linoleic Acid
Delta Nomenclature: C18:2: Delta 9, 12
Olmega Nomenclature: C18:2: Olmega 6,9
Acyl group name: Linoleoyl

Linolenic acid
C18:3∆9,12,15
C18:3 Olmega 6,9
linolenyl

Arachidonic acid
C20:4∆5,8,11,14
C20:4 Olmega 6,9,12,15
arachidonyl

1,2-dipalmitoyl-3-oleoyl glycerol, TAG

1,2 Dioleoyl-3-palmitoyl glycerol, TAG

10Myristyl-2-oleoyl-3-linoleoyl glycerol, TAG

Tristearin (TAG)

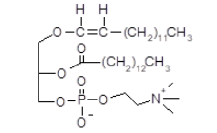
1- Palmitoyl-2-oleoyl-glycero-3-phosphochloine

This is an ether glycerophospholipid that contains a 16 carbon ether tail an acetyl group at C2 and a phosphocholine head group.
What type is it?

This is a plasmalogen that contains a 14 carbon ether tail an myristoyl group at C2 and a phosphocholine head group.
What type is it?

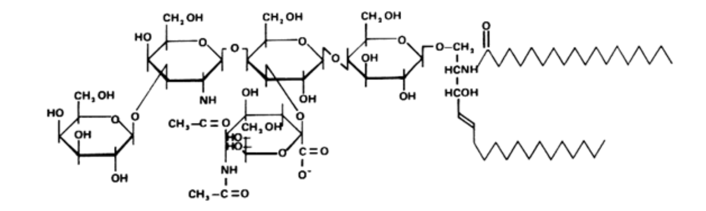
ganglioside

This is a sphingomyelin containing phosphocholine and an N-stearoyl-group

This is a B-galactocerebroside that also contains an N-oleoyl group.

Sphingomyelin containing a choline group and an N-palmitoyl group

Biological wax made from palmitic acid

Cholesterol ester of linoleic acid
