1/108
Looks like no tags are added yet.
Name | Mastery | Learn | Test | Matching | Spaced | Call with Kai |
|---|
No analytics yet
Send a link to your students to track their progress

Each of the rods depicted below were machined from same stock metal. If the same force is applied axially to each rod, which one will experience the highest stress?
C

Each of the rods depicted below were machined from same stock metal. They were originally machined to be the same length, but their cross-sectional areas were different. If axial force is applied to each rod such that they all change length by the same amount, which rod experienced the largest force? Assume that deformation is elastic.
B
A steel rod is pulled in tension with a stress that is less than the yield strength. The modulus of elasticity may be calculated as:
axial stress divided by axial strain

Three hypothetical tensile engineering stress-strain curves through failure are depicted below. Which response is considered to be the most brittle?
A

Tensile engineering stress-strain curves through failure are depicted below. Which response is considered to be the most brittle?
A

Which specimen features the most ductile response?
Structural Steel (mild steel)

Tensile engineering stress-strain curves through failure are depicted below. Which specimen features a yield point of approximately 200 MPa?
Structural Steel (mild steel)

Tensile engineering stress-strain curves through failure are depicted below. Which specimen features a tensile strength of approximately 200 MPa?
Magnesium
As the impurity concentration (in solid solution) of a metal is increased, the tensile and yield strengths
Increase
Which size of impurity atom, when located near a dislocation, will nullify some of the compressive strains the dislocation introduces in the crystal lattice?
Smaller Impurity Atom
As a metal strain hardened, its ductility __
Decreases
Increased hindering of dislocation motion makes a metallic material ___
Harder

The figures below depict hypothetical room-temperature random polycrystalline grain structures (at the same magnification) for the same single-component metal. Which of these structures is expected to provide the lowest yield stress?
D

The figures below depict hypothetical room-temperature random polycrystalline grain structures (at the same magnification) for the same single-component metal. Which of these structures is expected to provide the lowest ductility?
A
As the impurity concentration (in solid solution) of a metal is increased, the tensile and yield strengths ___
Increase
Which size of impurity atom, when located near a dislocation, will nullify some of the compressive strains the dislocation introduces in the crystal lattice?
Smaller Impurity Atom
As dislocation density increases, the resistance to dislocation movement
Increases
As a metal is strain hardened, its ductility
Decreases
Increased hindering of dislocation motion makes a metallic material _
Harder
A cylindrical specimen of brass that has a diameter of 20 mm, and a tensile modulus of 110 N/m2 (i.e. GPa), is pulled in tension with force of 40,000 N. If the deformation is totally elastic, what is the strain experienced by the specimen? (hint: you will need to convert mm to m(meters) for the units to work out)
0.00116
The initial diameter of a wire is 2 cm and needs to be reduced to 1 cm. Calculate the amount of cold work (reduction in area in percent) which is necessary.
75%
What was the original length of a wire that has been strained by 30% and whose final length is 1 m?
0.77m

The two shafts shown are made from the same material, and are identical in all ways except as shown. Which one will have greater fatigue life?
Gold
Cold working leads to _.
Increased hardness
After recrystallization the dislocation density will be than/from before.
lower
If I strain a metal past its yield stress, which of these things will certainly occur? The metal will _
become harder
High melting point materials will generally have elastic moduli that are ____ low melting point materials.
greater than
Estimate the theoretical fracture strength (in MPa) of a brittle material if it is known that fracture occurs by the propagation of an elliptically shaped surface crack of length 0.25 mm that has a tip radius of curvature of 0.004 mm when a stress of 1060 MPa is applied.
16760 MPa

The figure below depicts a brittle material featuring four elliptical flaws, each featuring the same radius of curvature at their tips. Based on the loading type and the loading axis illustrated, which flaw is most likely to propagate?
D
A brittle material typically exhibits substantial plastic deformation with high energy absorption before fracture. Is this statement true or false?
False
How is the fracture toughness of a metal expected to change with rising temperature? It will __.
Increase
It is desired to replace a circular steel tube (1040 cold drawn ; E=30 x 10^6 psi) of outer diameter, D = 1.125", and a wall thickness of 0.05" with an aluminum tube (6061 T6 - (10 x 10^6 psi) on a bicycle. The same tube stiffness is to be achieved. The aluminum outer tube diameter is set at 1.8". What should be the wall thickness of the aluminum tube?
0.034 "
Flux is a chemical compound used to prevent the _.
Formation of an oxide on the metal
What is an "inert gas" as used in Tungsten Inert Gas (TIG) Welding?
A gas that does not chemically react with other elements to help produce a quality weld
Stick (Arc) Welding uses a coated electrode; what is the purpose of this coating?
The coating produces a protective gas to prevent porosity.
With extended annealing at high temperature (but below the melting point), a metal will experience __
an increase in average grain size and a decrease in hardness
A capacitor consists of two large parallel plates of area A separated by a very small distance d. This capacitor is connected to a battery and charged until its plates carry charges +Q and -Q. It is then disconnected from the battery. If the separation between the plates is now doubled, the potential difference between the plates will .
double
The plates of a parallel-plate capacitor are maintained with constant voltage by a battery as they are pulled apart. What happens to the strength of the electric field between the plates during this process?
It decreases
The piezoelectric effect is when a material produces an electric charge when a(n)
mechanical stress is applied
Which 3D printing method uses a powder bed and a high-power laser to selectively melt and fuse powdered materials?
Selective laser sintering (SLS)
Which 3D printing method uses a liquid resin cured by a light source to create solid objects?
Stereo-lithography (SLA)
Which of the following is not a subtractive process?
Stereo-lithography (SLA)
What is the main advantage of 3D printing over traditional manufacturing methods?
Ability to create complex geometries
Which one of the process is subtractive prototyping?
5 axis CNC Milling
What type of bond is found between atoms within hydrocarbon molecules?
Covalent bonds
Strong covalent bonds exist between polymer chains in __
Thermosets
Which of the following is unique to polymeric materials?
Viscoelasticity
In general, the strongest polymer group is __
Thermosets
How do the densities compare for crystalline and amorphous polymers of the same material that have identical molecular weights?
Density of crystalline polymer > density of amorphous polymer

What is the name of the polymer represented by the following repeat unit?
Polypropylene

For the schematics below, which is consistent with a polymer architecture featuring PVC grafted onto a PTFE primary chain? Each circle is considered to be a repeat unit. Different colors signify different types of units
B

For the schematics below, which is consistent with a polymer architecture featuring PE grafted onto a PP-PVC alternating-copolymer primary chain? Each circle is considered to be a repeat unit.
C

For the schematics below, which is consistent with a polymer architecture featuring PE grafted onto a PTFE-PP block-copolymer primary chain? Each circle is considered to be a repeat unit.
A

Assuming the stress-strain curves provided below all correspond to the same polymer, which tensile test was most likely performed at the highest temperature above Tg? Choose (e) if none of the tests likely meet this condition
D

Assuming the stress-strain curves provided below all correspond to the same polymer, which tensile test was most likely performed below Tg? Choose (e) if all tests likely meet this condition.
A

Assuming the stress-strain curves provided below all correspond to the same polymer tested at the same temperature, which tensile test was most likely performed with the highest strain rate?
A
As the extent of cross-linking of polyisoprene (rubber) increases, its modulus of elasticity will _.
Increase
Polyethylene cooled more slowly from the melt will have a percent crystallinity that is polyethylene cooled more quickly.
Higher than
As more filler (e.g. carbon black, SiO2) is added to polyethylene, crystallization will be _
More difficult
Ductility of a linear polymer will increase as ___
the average length of polymer molecules is decreased
The melting temperature of a polymer will _ with an increase in the number of cross links.
Increase
Which of the following will weaken a thermoplastic?
Mixing with a plasticizer
An elastomer (i.e. rubber) can be made stiffer (the modulus can be increased) by _.
increasing the amount of cross-linking
When an epoxy is "curing" it is ____.
cross-linking
A glass-epoxy composite with unidirectional fibers contains 60% by volume glass fiber. The tensile strengths of glass fiber and epoxy are 350 MPa and 9 MPa, respectively. Calculate the tensile strength of the composite in the isostrain condition.
213.6 MPa

The figure below depicts four equal-sized composite plates created by laminating separate sheets of unidirectional Kevlar reinforced polyester. The applied force is parallel to the 0o fiber direction. Which of the laminate configurations will have the lowest strain if elastically loaded with an axial force as depicted below?
B

The figure below depicts four equal-sized composite plates created by laminating separate sheets of unidirectional Kevlar reinforced polyester. Which of the laminate configurations is expected to exhibit the least anisotropic mechanical properties?
A
A continuous and aligned hybrid composite consists of aramid and glass fibers embedded within a polymer resin matrix. Compute the longitudinal modulus of elasticity of this material if the respective volume fractions of the aramid and glass fibers are 0.24 and 0.28, given the following moduli (GPa) : Polyester (2.5); Aramid fibers (131); Glass fibers (72.5)
52.9 GPa

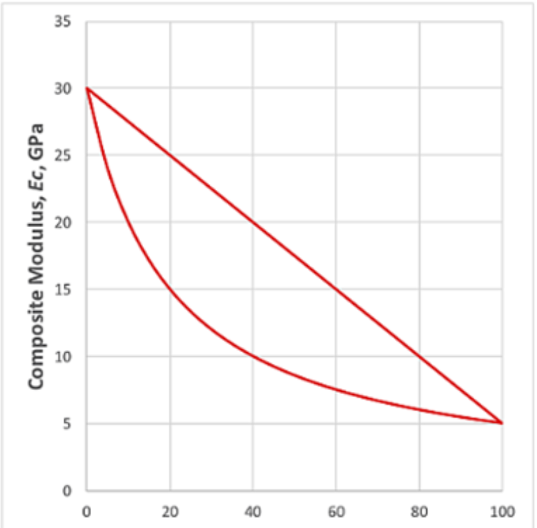
The figure below shows the elastic modulus rules-of-mixtures for an aligned and continuous fiber-reinforced epoxy composite. What is the composite modulus, measured parallel to the fiber alignment axis, for a sample containing 80 vol.% fiber? Note that the volume fraction axis is intentionally unlabeled. You should be able to discern this vol.% label for yourself based on the logic for producing a structural composite.
25 GPa
In order for prepreg to cure water is needed. True or False
False
The best mechanical efficiency (mechanical properties) in a composite is achieved when:
All reinforcing fibers are parallel to the applied stress
Calculate the modulus of elasticity for a composite material consisting of 60% by volume of continuous E-glass fiber and 40% epoxy resin for the matrix when stressed under isostress conditions (i.e., the material is stressed perpendicular to the continuous fiber). The modulus of elasticity of the E glass is 10.5 × 106 psi and that of the epoxy resin is 60.45 × 106 psi.
1.057×10^6 psi
The most common midsole foam is:
ethylene vinyl acetate
Which foaming technique can result in trace contaminants left behind in the foam
chemical foaming

the curve below shows deformation of a midsole foam during loading and unloading. the pink area between the lines represents
energy loss
ethylene vinyl acetate is a:
copolymer
cross linking of EVA midsole foam will make the polymer:
harder
polyurethane is commonly formed by reacting __
a polyol with an isocyanate
what is the order of typical energy return in midsole foams
EVA<TPU<PEBAX
the common structural aspect of all superfoams is:
a polymer with alternating hard and soft segments
A foam made by a supercritical foaming process can result in improved energy return and more stable performance
True
A large moment of inertia will ______________
reduce twisting of the driver head
The highest performing shoes have energy return values on the order of ___________.
80-90%
The coefficient of restitution of a driver ___
describes a measurement of how efficiently a golf club’s face transfers energy to the ball when it strikes
the densest (least porosity) microstructure of a driver will result from:
forging
the strongest parts of a driver can be expected to result from:
forging
which of the following is true about sintering
the reason sintering occurs (i.e. the driving force) is to reduce the surface energy by particle coalescence
grooves in irons are intended to _
impart back spin to the golf ball
sheet wound composite shafts __
will have a “spine” that will affect behavior
the face of a driver is bulged (not flat) __
to straighten the trajectory of an off-center ball strike
dimples can vary in diameter and depth. deep dimples generate _ than (as) shallow dimples
less spin
a higher spinning golf ball will experience _ than (as) a slower spinning golf ball
more lift
smaller diameter dimples generally give the ball _ and better control in the wind
a lower trajectory
larger diameter dimples give the ball a _ flight time
longer
the most common golf ball core material is
polybutadiene
surlyn, a common golf ball cover material is an example of a(n) _
ionomer
dimples on a golf ball create __
more turbulence at the ball surface
in a three piece golf ball where each layer has a different density, if a layer is non-concentric it will affect the _ of the ball
center of gravity
knots in wood decrease strength because
they increase the fraction of off axis cellulose fibers
which is true about bat hoop mode frequency
higher performing bats tend to have lower hoop mode frequencies