1/14
Looks like no tags are added yet.
Name | Mastery | Learn | Test | Matching | Spaced | Call with Kai |
|---|
No analytics yet
Send a link to your students to track their progress
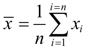
Jaký vzoreček použiješ pro bodové rozdělení?
Vozoreček Aritmetického průměru
Jednoduše definuj, jak funguje bodový odhad
Vyberu aritmetický průměr z výberu, který se lehce přiblíží k střední hodnotě
Proč při bodovém odhadu počítáme aritmetický průměr, proč si nevezmeme střední hodnotu rovnou?
Protože pokud je populace až příliš veliká, není možné získat střední hodnotu

O jaký vzoreček se jedná?
Aritmetický průměr
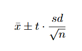
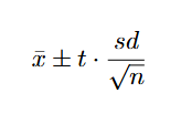
Aritmetický průměr se bude lišit od střední hodnoty (bodový odhad), jak se nazývá číslo, které tento jen vyjadřuje? Vzoreček?
SEM, sq()/sqrt(n)
Jaký je rozdíl mezi bodovým a intervalovým odhadem?
Bodový - jeden bod, intervalový - interval, kde se střední hodnota pravděpodobně nachází se zohledněním náhodného výběru

O jaký vzoreček se jedná?
Výpočet hranic intervalu pro intervalový odhad střední hodnoty

Jak získám t v tomto vzorečku?
Pokud znám směrodatnou odchylku, použiju jí
Vypočítám ho q.t = qt(1-(0.05/2), df=n-1)
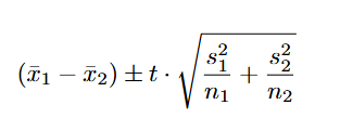
Jak vypočítám rozdíl dvou středních hodnot bodových odhadů?
Odečtu od sebe jejich aritmetické průměry
Mám dvě proměnně, které nesou informaci o výškách dvou skupin lidí, rozdíl aritmetických průměru (bodový odhad) vyjde 20, co mi to říká? (skupina1 - skupina2)
Střední průměrná hodnota výšky skupina1 je v průměru o 20 cm vyšší, než skupiny2

O jaký vzoreček se jedná?
Rozdíl dvou intervalových odhadů středních hodnot
Mám dvě proměnné a počítám jejich střední hodnoty pomocí intervalových odhadů, jaký příkaz mohu použít?
t.test(promenna1, promenna2, conf.level=0.95)

Použil jsem příkaz t.test(promenna1, promenna2, conf.level=0.95) a ve výsledku mám výstup (viz obrázek), je rozdíl statisticky významný? Proč?
Statisticky nevýznamný, jelikož 95 % interval obsahuje 0

Použil jsem příkaz t.test(promenna1, promenna2, conf.level=0.95) a ve výsledku mám výstup (viz obrázek), je rozdíl statisticky významný? Proč?
Statisticky významný, interval neobsahuje 0