1/21
Looks like no tags are added yet.
Name | Mastery | Learn | Test | Matching | Spaced | Call with Kai |
|---|
No analytics yet
Send a link to your students to track their progress

ethylenediamine (en)

diethylentriamine (dien)

1,4,7-Triazacyclononane (tacn)

triaminotriethylamine (tren)

triethylenetetramine (trien)

tetramethylcyclam (tmc)

phosphine (PR3)

1,2-bis(diphenylphosphino)ethane (dppe)

2,2’-bis(biphenylphosphino)-1,1’-binaphthyl (BINAP)

acetylacetonato (acac)

oxalato (ox)

dithiocarbamato (dtc)

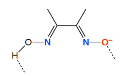
dimethylgloximato (dmg)

salen

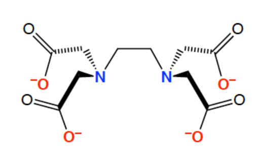
ethylenediamene-tetraacetate (EDTA)

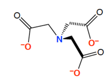
nitrilotriacetato (nta)

2,2’-bipyridine (bpy)

1,10-phenathroline (phen)

2,2’;6,2’’-terpyridine (trpy)

phorphyrin

phthalocyanine

trispyrazolylborate (Tp)