1/237
Looks like no tags are added yet.
Name | Mastery | Learn | Test | Matching | Spaced | Call with Kai |
|---|
No analytics yet
Send a link to your students to track their progress
Gefitinib

Processo sviluppo gefitinib

Interazioni di legame gefitinib

Sintesi gefitinib

Erlotinib

Icotinib

Laptinib

Vandertanib

Adamantani (struttura molecole e meccanismo d’azione)
BLOCCANTI DEL CANALE IONICO M2: in generale impediscono l’ingresso di protoni impedendo l’abbassamento di pH, l’effetto varia in base alla concentrazione del farmaco:
basse concentrazioni—> inibizione della spoliazione
Alte concentrazioni—>inibizione della fusione
Meccanismo in dettaglio sulle sbobine

NEURAMINIDASI (struttura e legami con il sito attivo)
Glicoproteina tetramerica a forma di fungo: testa esterna, gambo centrale e piccola porzione transmembrana che la ancora alla membrana virale grazie ad una sequenza lipofila di 29 AA

Meccanismo d’azione neuraminidasi

Lead compound dei farmaci inibitori della neuraminidasi analoghi allo stato di transizione

Sviluppo zanamivir e caratteristiche del farmaco

Sviluppo di 6-carbossiamidi

Processo sviluppo oseltamivir

Peramivir

Aciclovir e profarmaco struttura

Bioattivazione aciclovir

Sintesi valanciclovir

Meccanismo d’azione aciclovir
TERMINATORE DELLA CATENA OBBLIGATO
Guarda sbobins
Spettro d’azione e impieghi terapeutici aciclovir
Attivo su HSV meno su VZV e non attivo su HCMV
Usato per herpes, encefaliti, meningiti, varicella e fuoco di S.antonio
Ganciclovir e profarmaco (struttura)

Spettro d’azione ed impieghi terapeutici ganciclovir
Uguale ad aciclovir ma attivo anche su HCMV
Usato nel trattamento e nella profilassi di infezioni da HCMV (retiniti e polmoniti) in soggetti fragili
Meccanismo d’azione ganciclovir
TERMINATORE DELLA CATENA RITARDATO
Guarda sbobins
Penciclovir e profarmaco (struttura e conversione da profarmaco a bioprecursore)

Meccanismo d’azione penciclovir
TERMINATORE DELLA CATENA RITARDATO
Guarda sbobins
Bioattivazione penciclovir

Spettro d’azione ed impieghi terapeutici penciclovir
Spettro d’azione uguale ad aciclovir
Farmaco—> herpes oro-labiale
Profarmaco—> herpes genitale e infezioni oftalamiche
Agenti alchilanti (come agiscono?su quali basi?)

Clorometina

Meccanismo d’azione della clorometina

Elenco analoghi della clorometina e perchè sono migliori (se sono migliori)
melfalan—> agenta alchilante meno reattivo ed imita la fenilalanina
Mostarda di uracile—> agente alchilante meno reattivo ed imita una base dell’acido nucleico
Estramustina—> legato ad un estradiolo (sfrutta i suoi trasportatori), uretano riduce la nucleofilia dell’azoto
Meno nucleofili, meno reattivi = più selettivi
Melfalan

Mostarda di uracile

Estramustina

Ciclofosfamide

Generazione del derivato alchilante della ciclofosfamide

Lomustina

Carmustina

Meccanismo d’azione nitrosuree

Busulfan

Meccanismo d’azione busulfan

Dicarbazina

Meccanismo d’azione dacarbazina

Mitomicina C

Meccanismo d’azione mitomicina

Cisplatino

Meccanismo d’azione cisplatino

Analoghi cisplatino (elenco)
Carboplatino
Oxaliplatino
Carboplatino

Oxaliplatino

Agenti intercalanti come agiscono
Sono composti in grado di inserirsi tra coppie di basi adiacenti degli acidi nucleici e distruggere così la
struttura della doppia elica.
Contengono sistemi ad anello aromatici o eteroaromatici planari che scivolano tra gli strati di coppie di acidi
nucleici e distruggono la forma dell'elica (possono avvicinarsi attraverso il solco maggiore o il solco minore
dell’elica) -->L'intercalazione impedisce la replicazione e la trascrizione--> L'intercalazione può inibire le
topoisomerasi
Proflavina

Dactinomicina

Doxorubicina


Riconosci la molecola
BLEOMICINE
Tagliatori di catena come agiscono
Tagliano i filamenti di DNA ed impediscono all’enzima DNA ligasi di riparare il danno. Agiscono attraverso la
creazione di radicali che reagiscono con l’ossigeno per formare specie perossidiche e frammenti di catena
del DNA.
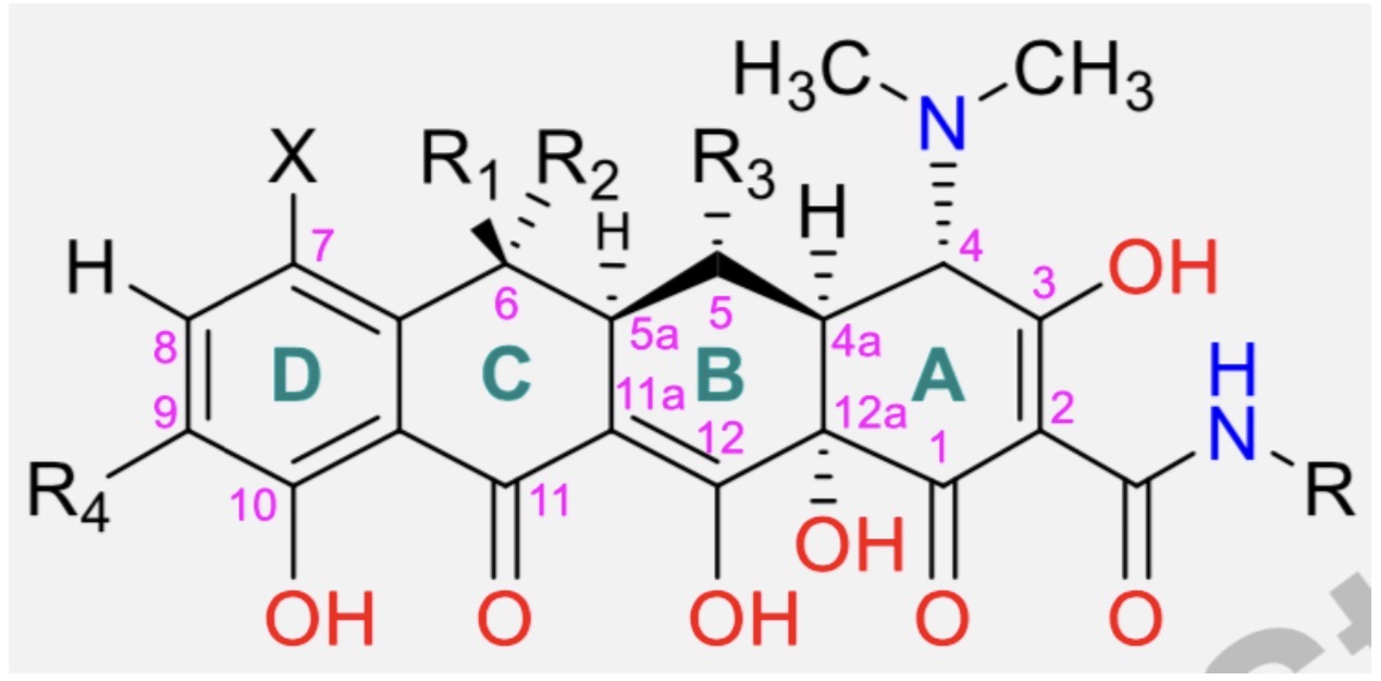
Struttura base delle tetracicline

Meccanismo d’azione delle tetracicline

Proprietà acido-base tetracicline

Disidratazione tetracicline

Epimerizzazione tetracicline

Instabilità in ambiente basico tetracicline

Clortetraciclina (anche nome comune)

Elenca le tetracicline di origine naturale
TETRACICLINA (ambramicina)
CLORTETRACICLINA (Aureomicina)
OSSITETRACICLINA (Terramicina)
DEMETILCLORTETRACICLINA(Demeclociclina)
TETRACICLINA

Ossitetraciclina

Demetilclortetraciclina

Doxiciclina

Minociclina

Metaciclina

Meclociclina

Sintesi doxiciclina

Tigeciclina

Rolitetraciclina

Limeciclina

Sintesi rolitetraciclina

Sintesi limeciclina
Con lisina al posto della pirrolidina

Sintesi minociclina

Sintesi tigeciclina

Struttura base delle tetracicline

Meccanismo d’azione delle tetracicline

Streptomicina

Diidrostreptomicina

Kanamicina A

Kanamicina B

Kanamicina C

Spectinomicina

Amikacina

Gentamicina, struttura generale

Sintesi Amikacina

Struttura generale eritromicina

Instabilità in ambiente acido dell’eritromicina

Oleandomicina

Troleandomicina

Claritromicina

Azitromicina

Sintesi azitromicina

Telitromicina (con SAR)


Riconosci la molecola
Streptogramine A
