1/17
Looks like no tags are added yet.
Name | Mastery | Learn | Test | Matching | Spaced | Call with Kai |
|---|
No analytics yet
Send a link to your students to track their progress

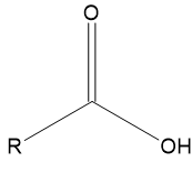
carboxylic acid
Acidic
2.5 - 5.0

β-Dicarbonyl
Acidic
4.5-8.5 (lower end)

Imide
Acidic
4.5-8.5 (higher end)

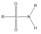
Sulfonamide
Acidic
4.5-11.5

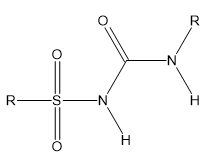
Sulfonylurea
Acidic
5.0-6.0

Tetrazole
Acidic
4.5-6.0

Phenol
Acidic
9.0-10.0

Sulfate
Acidic
1.0-2.0

Phosphate
Acidic
1.5-2.5 (1st proton)
6.5-7.5 (2nd proton)

Phosphonate
Acidic
1.5-2.5 (1st proton)
6.5-7.5 (2nd proton)

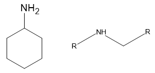
Aliphatic and Alicyclic Amines
Basic
9.0-11.0

Aromatic Amines (Aniline)
Basic
2.0-5.0

Imine
Basic
3.0-5.0

Hydrazine
Basic
7.5-8.5

Amidine
Basic
10.0-11.0

Guanidine
Basic
12.0-13.0

Aromatic Heterocyclic Nitrogen Atoms
Basic
1.0-6.0 (most 3.5-5.0)