1/21
Looks like no tags are added yet.
Name | Mastery | Learn | Test | Matching | Spaced | Call with Kai |
|---|
No analytics yet
Send a link to your students to track their progress
When to use Integration by Parts?
Use when there is a complicated integral and u-sub doesn’t work
Acronym for Integration by Parts

How to pick U (UV VDU)
Something that gets simplier when you derive
How to pick V (UV VDU)
Something that you can antiderive
LIPTE Acronym
Logs, Inverse Trig, Polynomials, Trig, Exponentials
Steps for Integration for Parts
Find U and DV
Write the Integration by Parts Equations
Solve
(Sometimes you’ll have to do it more than once and or algrebriaclly solve the problem after rewriting the equation)
When to Integrate with Perfect Square
Integrating (Constant/Quadratic)
When to Integrate with Division
Integrating (Polynomial with Greater Degree/Polynomial with Smaller Degree)
When to Integrate with Partial Fraction Decomposistion
Integrating (Linear Function/Polynomial)
Steps for Partial Fraction Decomposistion
Split into A + B over factors. Cross Multiple and Cancel. Plug in x values to find A and B. Integrate
Tropozoidal Sums Formula
A = 1/2(Y1 +Y2) Change in X
Steps for Infinte Limit/Improper Intergals
Change into Limit Formula
Replace A or B
Integrate
Solve Definite Integral
If real number, converges.
If infinity, diverges.

Type: Indefinite
Answer: (2/e)

Type: Indefinite
Answer: 2-2cos(1)

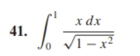
Type: Indefinite
Answer: 1

Type: Indefinite
Answer: -1

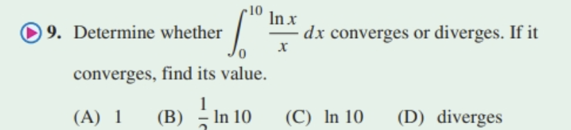
Type: Indefinite
Answer: Diverges

Type: Trapozoidal Sums
Answer: 15.4

Type: Trapozoidal Sums
Answer: 91

Type: Indefinite
Answer: 1/16

Type: Indefinite
Answer: Diverges