1/20
Looks like no tags are added yet.
Name | Mastery | Learn | Test | Matching | Spaced | Call with Kai |
|---|
No analytics yet
Send a link to your students to track their progress

Birch Reduction


Birch Reduction


Birch Reduction


EAS


Sulfonation (fuming H2SO4)




Nitration



Formation of Acylium Ion Mechanism




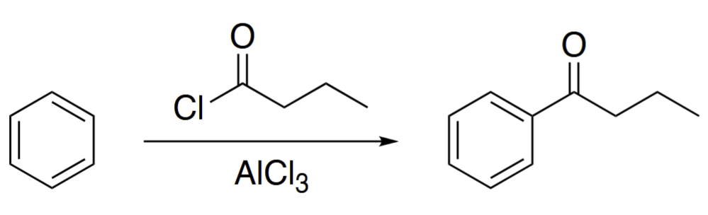
FC-A

What does Wolf-Kishner reduce?
Only ketones
What does Clemmenson reduce?
Ketones and nitros
What does H2, Ni reduce?
Only nitros
Strong Activators

Moderate Activators

Moderate Deactivators

Strong Deactivators

Entire o-p, m directing chart:




