1/25
Looks like no tags are added yet.
Name | Mastery | Learn | Test | Matching | Spaced |
|---|
No study sessions yet.
Micromeritics
Science and technology of small particles
Involves properties such as size, shape, surface properties, density and porosity, among others
Sieving
USP Method
Uses a series of sieves calibrated by the National Bureau of Standards (NBS)
The particle size may be estimated by calculating the relative abundance of particles in each sieve
Variables causing sieving errors Sieve loading, duration and intensity of agitation
Very Coarse
All particles pass through a No. 8 sieve and not more than 20% through a No. 60 sieve.
Coarse
All particles pass through a No. 20 sieve and not more than 40% through a No. 60 sieve.
Moderately Coarse
All particles pass through a No. 40 sieve and not more than 40% through a No. 80 sieve.
Fine
All particles pass through a No. 60 sieve and not more than 40% through a No. 100 sieve.
Very Fine
All particles pass through a No. 80 sieve. There is no limit to greater fineness.
Microscopy
Ordinary Microscope
Particle Range: 0.2 um - 100 um
Electronic Scanners
Disadvantages:
Diameter is obtained only from the particle’s length & breadth
Slow & Tedious: Number to be counted is 300-500 in order to obtain a good distribution estimation
Martin’s Diameter
Length of a line that bisects the particle image

Feret’s Diameter
Distance between two tangents on opposite sides of the particle parallel to some fixed directions

Projected Area Diameter
Area of a circle with the same area as that of the particle observed perpendicular to the surface on which the particle rests

Particle Volume Measurement
Determining the particle volume distribution in suspended particles
Uses a Coulter Counter (Light Diffractor Analyzer)
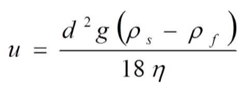
Sedimentation Method
This method employs the settling of particles in a liquid of a relatively low density under the influence of a gravitational or centrifugal field
Uses the Andreasen Apparatus
Utilizes Stoke’s law

Gas Adsorption Method
Particles with a small particle size have larger surface areas, and are good adsorbents
↓ Particle Size = ↑ Adsorption = ↑ Surface Area
Air Permeability Method
Based on the principle that the resistance offered to the flow of a fluid, such as air, through a plug of compacted powder is proportional to the surface area of the powder
↑ Air Permeability = ↓ Resistance = ↓ Surface Area
Porosity
Percentage expression of voids
Excellent
Carr’s Index
1-10
Hausner Ratio
1.00-1.11
Good
Carr’s Index
11-15
Hausner Ratio
1.12-1.18
Fair
Carr’s Index
16-20
Hausner Ratio
1.19-1.25
Passable
Carr’s Index
21-25
Hausner Ratio
1.26-1.34
Poor
Carr’s Index
26-31
Hausner Ratio
1.35-1.45
Very Poor
Carr’s Index
32-37
Hausner Ratio
1.46-1.59
Very, Very Poor
Carr’s Index
> 37
Hausner Ratio
> 1.59
Angle of Repose
Maximum angle possible between the surface of a pile of powder and the horizontal plane

Good Flow
Low Angle of Repose = ____ Flow
Poor Flow
High Angle of Repose = _____ Flow