1/5
Looks like no tags are added yet.
Name | Mastery | Learn | Test | Matching | Spaced | Call with Kai |
|---|
No analytics yet
Send a link to your students to track their progress
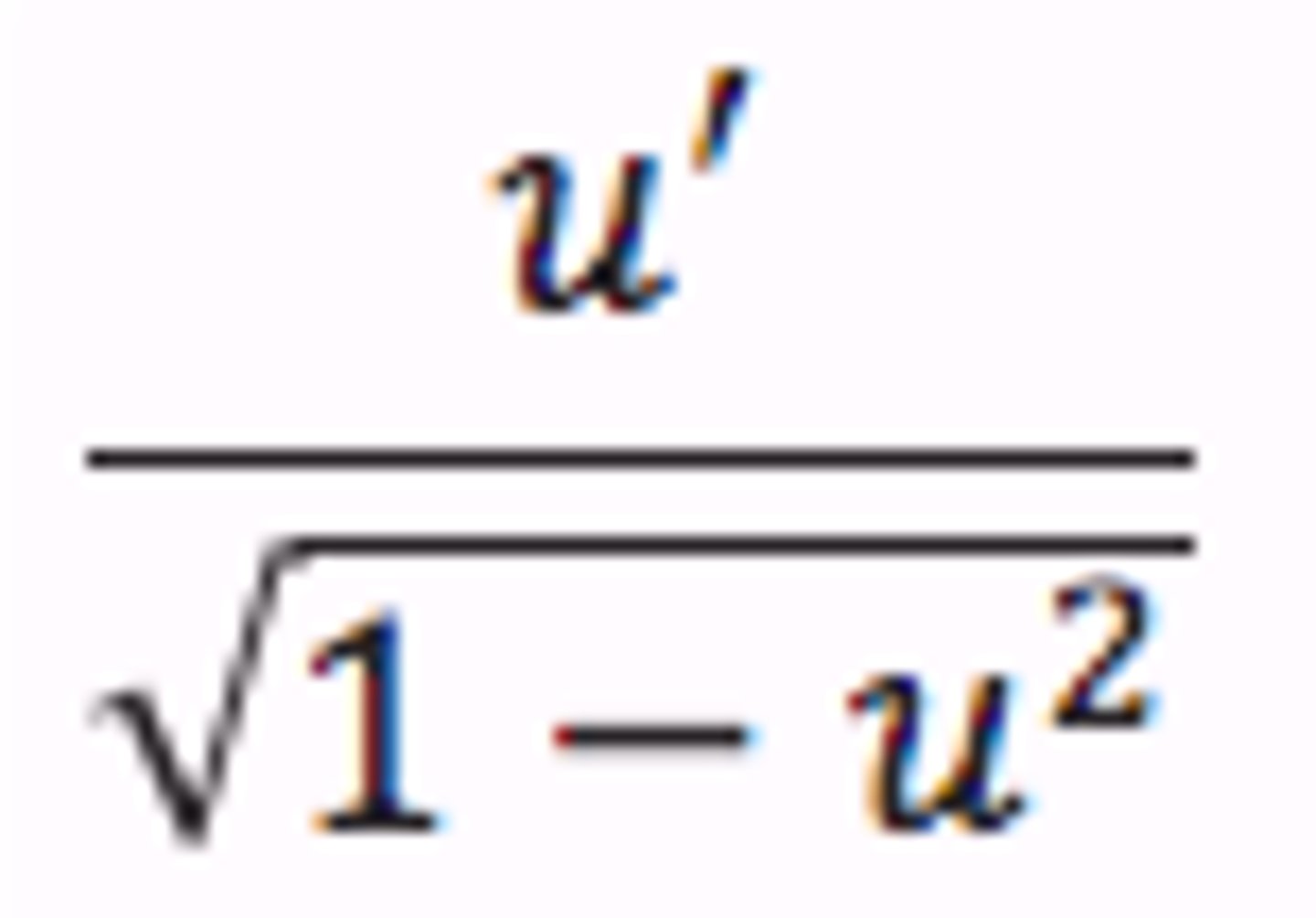
d/dx[arcsin u]

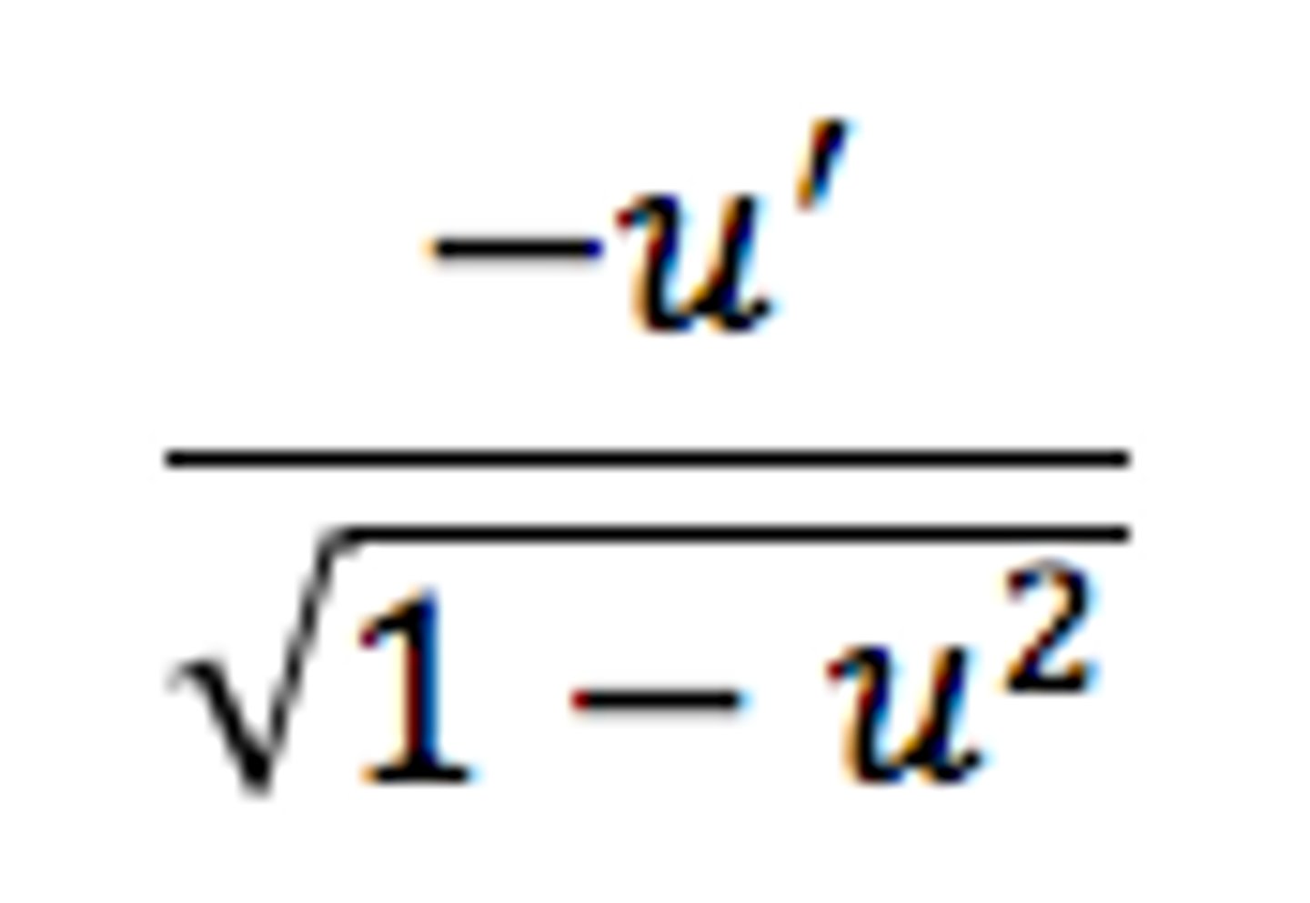
d/dx[arccos u]

d/dx[arctan u]

d/dx[arccot u]

d/dx[arcsec u]

d/dx[arccsc u]
