1/26
Looks like no tags are added yet.
Name | Mastery | Learn | Test | Matching | Spaced | Call with Kai |
|---|
No analytics yet
Send a link to your students to track their progress
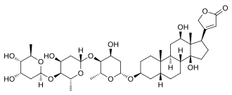
What are the structural motifs that form digoxin?
3 sugar residues attached to a steroid group
What is the MOA of Digoxin?
Binds on the extracellular side of Na+/K+ ATPASE and blocks potassium binding site non-competitively
What is the result of Digoxin binding to its target?
Indirect increase in intracellular calcium levels
What is the caution with dosing Digoxin?
Therapeutic serum range is close to toxic range
Where is Digoxin excreted?
Kidney
What is the impact of renal impairment on Digoxin?
Increases the risk of toxicity

What is this structure?
Digoxin
What is the half life of Digoxin?
36-48 hours
What is the antidote for acute digoxin toxicity?
Ovine digoxin immune Fab (DigiFab)
Why can’t you give verapamil and some macrolipids with Digoxin?
They inhibit P-Glycoprotein
What is the main mechanism of clearing Digoxin out of the body
P-glycoprotein (ATP dependent)
What can reduce digoxin absorption?
E.lenta (Bacteria found in the gut)
What is the issue with digoxin absorption?
Disruption from the gut flora can increase digoxin absorption, so it is hard to predict amount of drug absorbed.

What drug is this?
Milrinone
What type of drug is milrinone?
Positive inotrope and vasodilator (Inodilator)
What does milrinone act on?
PDE3 in different cell types
Where is milrinone metabolized?
Kidney and some liver

What drug is this?
Dobutamine
What is the MOA of Dobutamine?
Selectively stimulate beta 1 adrenergic receptors to increase intracellular levels of cAMP
What is the result of Digoxin’s activity?
Increase calcium influx into cardiac myocytes → increased myocardial contractility
What is the half-life of dobutamine?
2 minutes
What is the route of administration of dobutamine?
IV or continuous infusion
What is Dobutamine’s main metabolite?
3-O-methyldobutamine. It is inactive for the most part
What type of solution is Dobutamine injected in?
Acidic to increase solubility

What drug is this?
Levosimendan
What does Levosimendan do?
Calcium sensitizer

What is the MOAs of this drug?
Sensitizes troponin C to calcium dependent of calcium concentration