Derivatives of Inverse Trig Functions

0.0(0)
studied byStudied by 0 people
call kaiCall Kai
learnLearn
examPractice Test
spaced repetitionSpaced Repetition
heart puzzleMatch
flashcardsFlashcards
GameKnowt Play
Card Sorting

1/5

encourage image

There's no tags or description

Looks like no tags are added yet.

Last updated 4:55 PM on 2/3/26
Name
Mastery
Learn
Test
Matching
Spaced
Call with Kai

No analytics yet

Send a link to your students to track their progress

6 Terms

1
New cards

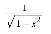
sin⁻¹(x)

knowt flashcard image
2
New cards

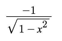
cos⁻¹(x)

knowt flashcard image
3
New cards

tan⁻¹(x)

knowt flashcard image
4
New cards

cot⁻¹(x)

knowt flashcard image
5
New cards

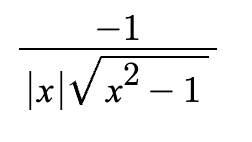
sec⁻¹(x)

knowt flashcard image
6
New cards

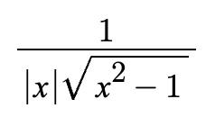
csc⁻¹(x)

knowt flashcard image