1/12
Looks like no tags are added yet.
Name | Mastery | Learn | Test | Matching | Spaced | Call with Kai |
|---|
No analytics yet
Send a link to your students to track their progress
alkene

double bond between two adjacent carbons
no free rotation
alkyne

triple bond between adjacent carbons
benzene

6-carbon ring with alternating single and double bonds
Very stable
halide

halogen is present in molecule
alcohol

contains hydroxyl functional group
thiol

-SH is bonded to a carbon atom
amine

functional group is a nitrogen
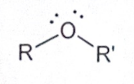
ether

oxygen is bonded to two carbon atoms
aldehyde

RCHO
hydrogen on one side of carbonyl
ketone

RCOR
carbon group on both sides
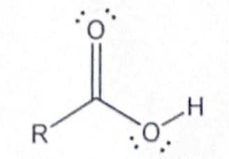
carboxylic acid

carbonyl group attatches to hydroxyl
RCO2H
ester

RCO2R
alkyl groups don’t have to be the same
amide

RCONH2, RCONHR, RCONR2
carbonyl attatched to a nitrogen