1/12
Name | Mastery | Learn | Test | Matching | Spaced | Call with Kai |
|---|
No analytics yet
Send a link to your students to track their progress
Alkene
carbon - carbon double bond

alkyne
carbon- carbon triple bond

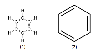
aromatic
benzene ring (6 carbon and 6 hydrogen)

haloalkane
one or more halogen atoms

alcohol
hydrogen group (-OH)

ether
oxygen bonded to 2 carbons

thiol
thiol group (-SH)

aldehyde
carbonyl group (carbon double bond) with -H

ketone
carbonyl group ( carbon double bond) between carbon atoms

carboxylic acid
carboxyl group (carbon oxygen double bond and -OH)

ester
carboxyl group with -H replaced by carbon

amine
Nitrogen atom with one or more carbon groups

amide
carbonyl group bonded to nitrogen
