1/24
Looks like no tags are added yet.
Name | Mastery | Learn | Test | Matching | Spaced | Call with Kai |
|---|
No analytics yet
Send a link to your students to track their progress
Variance
(1) how data is spread out
3 Ways to Measure Variation
(1) range
(2) standard deviation
(3) variance
Range
(1) the range of numbers
Formula for Range
Range = Max Value - Min Value
What is standard deviation?
(1) distance from the mean
3 Properties of Standard Deviation
(1) never negative
(2) never zero
(3) greatly affected by outliers
Variable for Sample Standard Deviation
s
Variable for Population Standard Deviation
S
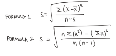
2 Formulas for Sample Standard Deviation

Formula for Population Standard Deviation

Table for Formula 1 Standard Deviation

Table for Formula 2 Standard Deviation

How do you find the variance?
(1) square standard deviation
Sample Variance Formula
s = s2
Population Variance Formula
V = σ2
Small standard deviation means…
(1) closely grouped data
Large standard deviation means…
(1) spread out data
When does the empirical rule work?
(1) when data is normal
Empirical Rule
(1) 68% of data will fall within one standard deviation
(2) 95% of data will fall within two standard deviations
(3) 99.7% of data will fall within three standard deviations
How many standard deviations does usual data lie?
(1) 1 to 2
How many standard deviations does unusual data lie?
(1) 3 up
Steps to Finding the Number of Standard Deviations Away from the Mean
Step 1: Find the distance between the mean and the given endpoint data values, subtract the “lower limit” from the mean and the “higher limit” from the mean respectively, do each side separately
Step 2: Divide that number by the standard deviation
Formula for Number of Standard Deviations Away from the Mean

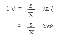
What is coefficient of variation?
(1) compares the standard deviation from the mean by taking the ratio and converting to percentage
Coefficient of Variation Formula
