1/24
Looks like no tags are added yet.
Name | Mastery | Learn | Test | Matching | Spaced | Call with Kai |
|---|
No analytics yet
Send a link to your students to track their progress
d/dx [c], where c is a constant
0
d/dx [x]
1
d/dx [cx], where c is a constant
c
d/dx [x^n]
n*x^(n-1)
d/dx [cx^n], where c is a constant
cnx^(n-1)
d/dx [f(x)*g(x)] (product rule for f and g)
f'(x)g(x) + g'(x)f(x)
d/dx [g(x)*h(x)] (product rule for g and h)
g'(x)h(x)+h'(x)g(x)
d/dx [f(x)/g(x)] (quotient rule for f over g)
[f'(x)g(x)-g'(x)f(x)] / [(g(x))^2]
d/dx [g(x)/h(x)] (quotient rule for g over h)
[g'(x)h(x)-h'(x)g(x)] / [(h(x))^2]
d/dx sin x
cos x
d/dx cos x
-sin x
d/dx tan x
sec^2 x
d/dx cot x
-csc^2 x
d/dx sec x
sec x * tan x
d/dx csc x
-csc x * cot x
d/dx e^x
e^x
d/dx a^x
(a^x)*ln (a)
d/dx ln (x)
1/x

d/dx log_a (x)
1/(xln a)

d/dx arcsin (x)
1/(sqrt(1-x^2))

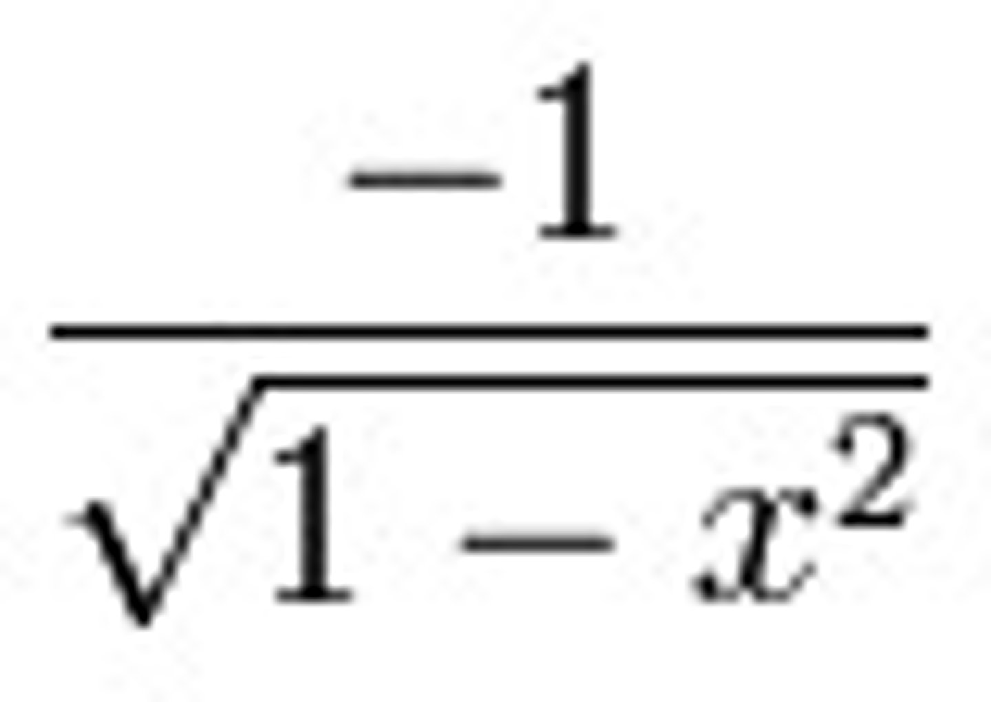
d/dx arccos (x)
-1/(sqrt(1-x^2))

d/dx arctan (x)
1/(1+x^2)

d/dx arccot (x)
-1/(1+x^2)

d/dx arcsec (x)
1/(x * sqrt(x^2-1))

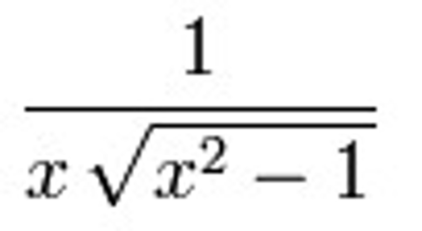
d/dx arccsc (x)
-1/(x * sqrt(x^2-1))
